图谱信息 供应商 相关产品
网站主页CAS数据库列表 1159-86-0更多图谱1,2-二苯基苯 试剂(1159-86-0)红外图谱(IR1)

1,2-二苯基苯 试剂

产品名称 1,2-二苯基苯 试剂

CAS号1159-86-0

分子式C20H14O2

分子量286.32

展开


  • Mass

    MS-NW-5663          
    o-dibenzoylbenzene
    C20H14O2            (Mass of molecular ion:    286)
    

       Source Temperature: 170 °C
       Sample Temperature: 120 °C
       Direct, 75 eV
    

          27.0       3.9
          39.0       3.8
          43.0       1.5
          50.0      13.6
          51.0      38.8
          52.0       2.3
          62.0       1.3
          63.0       2.9
          74.0       4.6
          75.0       6.1
          76.0      15.0
          77.0     100.0
          78.0       7.7
          86.0       1.2
          87.0       1.4
          99.0       1.0
         101.0       1.3
         102.0       1.1
         104.0       3.0
         105.0      57.7
         106.0       4.7
         126.0       3.2
         127.0       3.9
         150.0       2.5
         151.0       8.7
         152.0      33.7
         153.0      14.5
         154.0       1.8
         163.0       1.0
         165.0       4.0
         180.0       3.1
         181.0       6.6
         182.0       1.1
         193.0       2.1
         209.0      72.1
         210.0      11.1
         211.0       1.2
         239.0       1.1
         241.0       1.2
         242.0       1.0
         257.0       2.7
         258.0       1.1
         270.0       1.7
         286.0      33.6
         287.0       7.3
         288.0       1.0
    

90 MHz in CDCl3

400 MHz in CDCl3


  • 1H NMR 89.56 MHz
    C20 H14 O2 0.044 g : 0.5 ml CDCl3
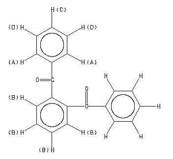
    o-dibenzoylbenzene
    ChemicalStructure
        Assign.     Shift(ppm)
    A 7.686 B 7.60 C 7.43 D 7.34 400MHZ. : HSP-40-395

         Hz     ppm     Int.
    

        694.44   7.754    105
        692.75   7.736    130
        691.88   7.726     56
        691.19   7.718     53
        690.63   7.712     60
        688.88   7.692     52
        686.69   7.668    169
        685.38   7.653     89
        684.69   7.646    222
        683.75   7.635     72
        680.75   7.602   1000
        678.94   7.581     61
        678.38   7.575     51
        677.44   7.565     36
        673.13   7.516     62
        672.38   7.508     92
        669.63   7.477     41
        668.13   7.461    105
        666.31   7.440    136
        665.06   7.426    163
        664.38   7.419    217
        662.75   7.401     96
        660.06   7.371     70
        658.75   7.356     69
        657.56   7.343    107
        657.13   7.338    138
        655.81   7.323     42
        651.13   7.271     47
        649.38   7.251     59
        648.44   7.241     42
    


  • 1H NMR 399.65 MHz
    C20 H14 O2 0.045 g : 0.5 ml CDCl3
    o-dibenzoylbenzene
    ChemicalStructure
        Assign.     Shift(ppm)
    A 7.701 B 7.61 C 7.498 D 7.365 90MHZ. : HSP-03-258

         Hz     ppm     Int.
    

       3084.23   7.718    101
       3082.52   7.714    472
       3081.91   7.712    397
       3081.30   7.710    655
       3080.08   7.707    265
       3079.59   7.706    228
       3076.17   7.698    203
       3074.22   7.693    698
       3072.88   7.689    671
       3068.97   7.680     32
       3051.03   7.635     40
       3049.68   7.631     64
       3049.32   7.630     67
       3047.85   7.627     57
       3046.75   7.624     55
       3046.02   7.622     71
       3045.29   7.620     63
       3045.04   7.620     63
       3043.58   7.616    149
       3041.63   7.611    393
       3041.02   7.610    510
       3040.04   7.607    958
       3039.43   7.606   1000
       3038.57   7.604    559
       3035.89   7.597    131
       3034.06   7.592     46
       3033.57   7.591     49
       3032.23   7.588     30
       3031.49   7.586     37
       3030.27   7.583     50
       3029.91   7.582     48
       3006.23   7.523     96
       3005.00   7.520    185
       3003.66   7.516    115
       2999.39   7.506    131
       2998.29   7.503    189
       2997.56   7.501    369
       2996.70   7.499    185
       2995.73   7.496    149
       2994.14   7.492     37
       2993.65   7.491     35
       2991.46   7.486    177
       2990.11   7.482    298
       2988.77   7.479    154
       2956.18   7.397     30
       2955.08   7.395     42
       2953.86   7.392     50
       2953.25   7.390     45
       2952.88   7.389     47
       2951.29   7.385    123
       2949.71   7.381    479
       2948.12   7.377    230
       2946.53   7.373     66
       2942.26   7.363    551
       2941.65   7.361    625
       2940.55   7.358    225
       2937.99   7.352     48
       2936.16   7.347    148
       2934.45   7.343    336
       2933.84   7.342    257
       2932.86   7.339     99
    

in CDCl3



KBr disc



nujol mull