图谱信息 供应商 相关产品
网站主页CAS数据库列表 1163-67-3更多图谱乙酸萘酚AS(1163-67-3)红外图谱(IR2)

乙酸萘酚AS

产品名称 乙酸萘酚AS

CAS号1163-67-3

分子式C19H15NO3

分子量305.33

展开


  • Mass

    MS-NW-2313          
    3-phenylcarbamoyl-2-naphthyl acetate
    C19H15NO3           (Mass of molecular ion:    305)
    

       Source Temperature: 240 °C
       Sample Temperature: 160 °C
       Direct, 75 eV
    

          14.0       1.8
          15.0       1.7
          17.0       1.0
          18.0       4.9
          28.0       1.8
          39.0       3.7
          42.0       3.8
          43.0      11.3
          51.0       2.5
          62.0       1.5
          63.0       4.1
          64.0       1.6
          65.0       4.3
          66.0       1.2
          75.0       1.1
          77.0       4.0
          87.0       1.2
          88.0       3.0
          89.0       2.8
          93.0      23.9
          94.0       1.7
         113.0       4.7
         114.0      17.0
         115.0      37.5
         116.0       3.7
         117.0       1.3
         118.0       1.0
         140.0       1.0
         142.0      26.7
         143.0       4.9
         169.0       1.7
         170.0     100.0
         171.0      95.5
         172.0      11.2
         173.0       1.0
         213.0       4.6
         217.0       1.6
         245.0       6.6
         246.0       1.6
         262.0       2.9
         263.0      86.3
         264.0      16.0
         265.0       1.8
         305.0       5.0
         306.0       1.1
    

400 MHz in DMSO-d6


  • 1H NMR 399.65 MHz
    C19 H15 N O3 0.040 g : 0.5 ml DMSO-d6
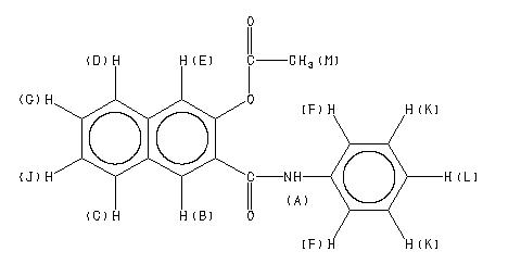
    3-phenylcarbamoyl-2-naphthyl acetate
    ChemicalStructure
        Assign.     Shift(ppm)
    A 10.5 B 8.333 C 8.091 D 7.980 E 7.784 F 7.77 G *1 7.65 J *1 7.61 K 7.372 L 7.120 M 2.254

         Hz     ppm     Int.
    

       4215.94  10.550    135
       3330.52   8.334    210
       3238.02   8.103     71
       3230.14   8.083     78
       3193.32   7.991     77
       3185.45   7.971     85
       3111.27   7.785    359
       3102.47   7.763    141
       3064.19   7.668     33
       3062.73   7.664     41
       3057.23   7.650     80
       3055.95   7.647     78
       3054.85   7.644     45
       3049.54   7.631     88
       3047.89   7.627    136
       3046.24   7.623     91
       3040.93   7.609     43
       3039.83   7.607     74
       3038.55   7.604     79
       3033.05   7.590     37
       3031.59   7.586     33
       2954.11   7.392    113
       2952.28   7.388     51
       2949.90   7.382     30
       2946.60   7.373    171
       2942.57   7.363     42
       2940.01   7.357     49
       2938.36   7.353    122
       2853.37   7.140     37
       2852.27   7.137     68
       2851.35   7.135     47
       2844.94   7.119    110
       2838.71   7.103     30
       2837.62   7.101     50
       2836.52   7.098     31
        901.00   2.255   1000
    

in DMSO-d6



KBr disc



nujol mull