图谱信息 供应商 相关产品
网站主页CAS数据库列表 117-81-7更多图谱邻苯二甲酸二(2-乙基己)酯(117-81-7)质谱(MS)

邻苯二甲酸二(2-乙基己)酯

产品名称 邻苯二甲酸二(2-乙基己)酯

CAS号117-81-7

分子式C24H38O4

分子量390.56

展开


  • Mass

    MS2014-05079CW      
    bis(2-ethylhexyl) phthalate
    C24H38O4            (Mass of molecular ion:    390)
    

       Source Temperature: 240 °C
       Sample Temperature:  20 °C
       Direct, 70 eV
    

          27.0       1.2
          29.0       4.2
          39.0       1.1
          41.0       9.9
          42.0       1.9
          43.0      13.5
          55.0       8.2
          56.0       4.3
          57.0      24.1
          58.0       1.1
          65.0       1.3
          69.0       3.7
          70.0      15.4
          71.0      17.6
          72.0       1.0
          76.0       2.7
          77.0       1.0
          82.0       1.0
          83.0       5.7
          84.0       2.9
          93.0       1.4
         104.0       5.5
         105.0       1.9
         112.0       7.4
         113.0      10.9
         121.0       1.5
         122.0       1.6
         132.0       2.3
         149.0     100.0
         150.0      11.1
         151.0       1.2
         167.0      35.4
         168.0       3.1
         279.0      14.2
         280.0       2.5
    

in CDCl3

90 MHz in CDCl3




  • 1H NMR 89.56 MHz
    C24 H38 O4 0.04 ml : 0.5 ml CDCl3
    bis(2-ethylhexyl) phthalate
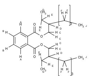
    ChemicalStructure
        Assign.     Shift(ppm)
    A 7.70 B 7.52 C 4.218 D 1.63 E 1.49 to 1.27 F 0.92 G 0.90

         Hz     ppm     Int.
    

        695.25   7.763    144
        692.06   7.728    147
        690.25   7.708    123
        689.00   7.694    208
        686.44   7.665    295
        686.00   7.660    316
        682.50   7.621    118
        680.81   7.602    129
        677.38   7.564    305
        676.94   7.559    299
        674.31   7.530    149
        673.06   7.516    127
        671.56   7.499    145
        668.06   7.460    143
        380.94   4.254    592
        375.38   4.192    686
        133.69   1.493    216
        126.25   1.410    325
        120.50   1.346    734
        119.25   1.332    727
        117.88   1.317    704
         89.31   0.998    420
         82.69   0.924   1000
         80.31   0.897    767
         75.00   0.838    279
    

in CDCl3



CCl4 solution



Liquid film