图谱信息 供应商 相关产品
网站主页CAS数据库列表 118-29-6更多图谱N-羟甲基邻苯二甲酰亚胺(118-29-6)核磁图(1HNMR)

N-羟甲基邻苯二甲酰亚胺

产品名称 N-羟甲基邻苯二甲酰亚胺

CAS号118-29-6

分子式C9H7NO3

分子量177.16

展开


  • Mass

    MS-NW-6603          
    N-(hydroxymethyl)phthalimide
    C9H7NO3             (Mass of molecular ion:    177)
    

       Source Temperature: 160 °C
       Sample Temperature: 100 °C
       Direct, 75 eV
    

          18.0       2.0
          28.0       6.2
          29.0      18.6
          30.0      15.6
          37.0       4.1
          37.5       1.0
          38.0       5.5
          39.0       1.6
          45.5       2.7
          49.0       1.8
          50.0      22.8
          51.0       2.2
          52.0       4.4
          59.5       2.7
          61.0       1.1
          62.0       1.0
          63.0       1.7
          64.0       1.4
          66.0       6.1
          73.0       2.3
          73.5       1.0
          74.0      10.1
          75.0       9.5
          76.0      55.4
          77.0       5.2
          90.0       2.4
          92.0       1.1
         102.0       1.2
         103.0      17.2
         104.0      62.3
         105.0       6.8
         130.0       3.7
         147.0     100.0
         148.0      12.0
         149.0       2.6
         160.0       1.1
         177.0       4.8
    

400 MHz in DMSO-d6


  • 1H NMR 399.65 MHz
    C9 H7 N O3 0.035 g : 0.5 ml DMSO-d6
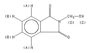
    N-(hydroxymethyl)phthalimide
    ChemicalStructure
        Assign.     Shift(ppm)
    A *1 7.921 B *1 7.885 C 6.44 D 4.989

         Hz     ppm     Int.
    

       3176.27   7.948     30
       3175.05   7.945     45
       3171.63   7.937    414
       3168.70   7.929    385
       3168.33   7.928    397
       3166.75   7.924    376
       3165.65   7.922    484
       3162.84   7.915    852
       3159.30   7.906    231
       3158.69   7.904    231
       3157.84   7.902    233
       3157.35   7.901    248
       3153.69   7.892    803
       3151.00   7.885    430
       3149.90   7.882    388
       3148.32   7.878    389
       3144.90   7.870    427
       3141.60   7.861     52
       3140.38   7.858     42
       2580.20   6.457    215
       2573.24   6.439    481
       2566.16   6.422    233
       1997.56   4.999    999
       1990.48   4.981   1000
    

in DMSO-d6



KBr disc



nujol mull



4880 A,200 M,powder