图谱信息 供应商 相关产品
网站主页CAS数据库列表 118-31-0更多图谱1-萘甲基胺(118-31-0)质谱(MS)

1-萘甲基胺

产品名称 1-萘甲基胺

CAS号118-31-0

分子式C11H11N

分子量157.21

展开


  • Mass

    MS-NW-5568          
    ((1-naphthyl)methyl)amine
    C11H11N             (Mass of molecular ion:    157)
    

       Source Temperature: 250 °C
       Sample Temperature: 190 °C
       Reservoir, 75 eV
    

          18.0       1.7
          28.0       7.1
          29.0       1.7
          30.0      15.6
          39.0       2.7
          50.0       3.0
          51.0       5.0
          52.0       1.2
          62.0       1.9
          63.0       5.0
          64.0       2.1
          65.0       2.7
          74.0       3.1
          75.0       3.8
          76.0       2.6
          76.5       2.2
          77.0       8.1
          77.5       4.8
          78.0       4.5
          78.5       3.5
          86.0       1.0
          87.0       1.5
          89.0       1.9
          91.0       1.0
          98.0       1.1
         101.0       2.7
         102.0       3.0
         103.0       1.0
         113.0       1.0
         115.0       9.0
         116.0       1.1
         126.0       5.1
         127.0      16.6
         128.0      31.0
         129.0      41.6
         130.0       5.9
         139.0       7.7
         140.0       4.8
         141.0      19.6
         142.0       3.4
         153.0       3.8
         154.0       7.0
         155.0       2.7
         156.0     100.0
         157.0      93.8
         158.0      11.1
    

400 MHz in CDCl3


  • 1H NMR 399.65 MHz
    C11 H11 N 0.05 ml : 0.5 ml CDCl3
    ((1-naphthyl)methyl)amine
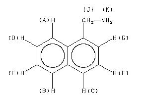
    ChemicalStructure
        Assign.     Shift(ppm)
    A 7.945 B 7.79 C 7.679 D *1 7.45 E *1 7.41 F 7.35 G 7.34 J 4.168 K 1.77

         Hz     ppm     Int.
    

       3180.66   7.959    192
       3179.44   7.956    218
       3178.59   7.954    203
       3173.71   7.942    108
       3172.61   7.939    185
       3171.63   7.937    236
       3171.02   7.935    238
       3122.92   7.815     30
       3118.04   7.802    225
       3117.07   7.800    209
       3115.72   7.797    187
       3114.01   7.792    107
       3113.40   7.791    110
       3110.35   7.783    291
       3108.52   7.779    266
       3105.22   7.770     63
       3101.68   7.761     30
       3073.12   7.690    170
       3070.31   7.683    185
       3066.53   7.674    151
       3063.72   7.667    199
       2991.09   7.485     30
       2990.23   7.483     31
       2989.62   7.481     32
       2988.65   7.479     34
       2988.28   7.478     34
       2986.57   7.473     62
       2985.23   7.470    148
       2983.64   7.466    178
       2981.93   7.462     81
       2978.52   7.453    312
       2976.81   7.449    294
       2975.46   7.446    181
       2970.83   7.434    536
       2968.87   7.429    502
       2966.43   7.423    143
       2964.11   7.417    177
       2963.01   7.415    274
       2961.55   7.411    300
       2959.35   7.405    112
       2958.01   7.402    119
       2956.18   7.397    169
       2954.71   7.394    131
       2952.76   7.389     48
       2951.90   7.387     47
       2951.66   7.386     47
       2950.81   7.384     47
       2950.32   7.383     46
       2949.95   7.382     46
       2949.46   7.381     45
       2948.73   7.379     46
       2948.36   7.378     45
       2948.12   7.377     45
       2946.04   7.372    153
       2938.96   7.354    498
       2934.94   7.344    374
       2932.25   7.338   1000
       2927.98   7.327    122
       1665.77   4.169    623
       1653.44   4.138     33
       1652.83   4.136     33
       1652.47   4.135     33
        707.89   1.772    181
    

in CDCl3



liquid film