图谱信息 供应商 相关产品
网站主页CAS数据库列表 118-44-5更多图谱N-乙基-1-萘胺(118-44-5)核磁图(1HNMR)

N-乙基-1-萘胺

产品名称 N-乙基-1-萘胺

CAS号118-44-5

分子式C12H13N

分子量171.24

展开


  • Mass

    MS-NW-8561          
    N-ethyl-1-naphthylamine
    C12H13N             (Mass of molecular ion:    171)
    

       Source Temperature: 260 °C
       Sample Temperature: 140 °C
       Reservoir, 75 eV
    

          27.0       2.2
          28.0       5.2
          29.0       1.3
          39.0       3.8
          42.0       3.1
          50.0       2.7
          51.0       5.2
          52.0       1.3
          62.0       2.5
          63.0       7.4
          64.0       2.9
          65.0       4.7
          74.0       3.0
          75.0       4.9
          76.0       2.8
          77.0      11.4
          78.0       7.3
          83.0       1.6
          85.0       1.6
          86.0       1.3
          87.0       2.2
          88.0       2.1
          89.0       5.4
         101.0       4.0
         102.0       2.1
         113.0       2.8
         114.0       3.8
         115.0      29.2
         116.0       5.1
         117.0       1.2
         126.0       7.0
         127.0      19.7
         128.0      29.8
         129.0      48.6
         130.0       5.8
         140.0       3.2
         141.0       2.2
         142.0       3.5
         143.0       3.3
         153.0       1.7
         154.0      14.8
         155.0       8.0
         156.0     100.0
         157.0      12.4
         167.0       1.7
         168.0       2.0
         169.0       1.4
         170.0       8.1
         171.0      80.1
         172.0      10.9
    

400 MHz in CDCl3


  • 1H NMR 399.65 MHz
    C12 H13 N 0.05 ml : 0.5 ml CDCl3
    N-ethyl-1-naphthylamine
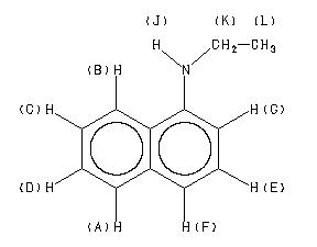
    ChemicalStructure
        Assign.     Shift(ppm)
    A 7.728 B 7.696 C 7.38 D 7.34 E 7.299 F 7.191 G 6.534 J 4.09 K 3.174 L 1.270

         Hz     ppm     Int.
    

       3093.63   7.741    165
       3092.29   7.738    202
       3084.47   7.718    210
       3080.32   7.708    185
       3079.59   7.706    178
       3072.14   7.688    202
       3071.41   7.686    193
       2956.42   7.398     84
       2955.08   7.395    106
       2949.58   7.381    183
       2948.36   7.378    209
       2947.27   7.375    117
       2941.89   7.362    192
       2939.45   7.356    218
       2937.62   7.351    209
       2932.50   7.338     97
       2930.91   7.334    197
       2929.57   7.331    185
       2926.03   7.322    190
       2924.32   7.318    108
       2922.73   7.314     96
       2917.97   7.302    332
       2910.28   7.283    260
       2877.56   7.201    271
       2869.38   7.180    195
       2614.99   6.544    239
       2607.42   6.525    228
       1279.42   3.202    173
       1272.34   3.184    491
       1265.14   3.166    506
       1258.06   3.148    186
        519.78   1.301     36
        514.77   1.289    565
        507.32   1.270   1000
        500.37   1.253    555
    

in CDCl3



liquid film