图谱信息 供应商 相关产品
网站主页CAS数据库列表 118-45-6更多图谱4-氯代苯酐(118-45-6)核磁图(13CNMR)

4-氯代苯酐

产品名称 4-氯代苯酐

CAS号118-45-6

分子式C8H3ClO3

分子量182.56

展开


  • Mass

    MS-IW-4950          
    4-chlorophthalic anhydride
    C8H3ClO3            (Mass of molecular ion:    182)
    

       Source Temperature: 130 °C
       Sample Temperature: 110 °C
       Direct, 75 eV
    

          28.0       1.4
          36.0       1.4
          37.0       9.1
          37.5       3.0
          38.0       3.1
          49.0       3.7
          50.0      11.3
          51.0       3.6
          53.0       1.3
          55.0      12.5
          55.5       1.2
          56.0       4.2
          60.0       1.6
          61.0       2.3
          62.0       1.5
          63.0       1.3
          69.0       6.3
          70.0       2.0
          72.0       1.3
          73.0       9.9
          74.0      31.5
          75.0      43.2
          76.0       3.3
          77.0       1.7
          84.0       5.6
          86.0       1.7
         103.0       1.0
         108.0       1.0
         109.0       1.5
         110.0      63.5
         111.0       4.7
         112.0      20.7
         113.0       1.4
         138.0     100.0
         139.0       8.0
         140.0      33.1
         141.0       2.6
         154.0       2.7
         156.0       2.7
         182.0      73.8
         183.0       6.6
         184.0      27.5
         185.0       2.4
         226.0       3.7
         228.0       3.6
    

400 MHz in DMSO-d6


  • 1H NMR 399.65 MHz
    C8 H3 Cl O3 0.041 g : 0.5 ml DMSO-d6
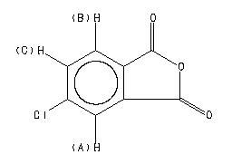
    4-chlorophthalic anhydride
    ChemicalStructure
        Assign.     Shift(ppm)
    A 8.228 B 8.095 C 8.054

         Hz     ppm     Int.
    

       3289.64   8.232    685
       3289.03   8.230    790
       3287.96   8.228    828
       3287.35   8.226    698
       3241.12   8.110    435
       3240.51   8.109    381
       3237.76   8.102     27
       3237.15   8.100     28
       3235.78   8.097     47
       3233.03   8.090   1000
       3232.27   8.088    894
       3228.45   8.079     28
       3227.84   8.077     27
       3226.47   8.074     26
       3222.35   8.063    845
       3220.67   8.059    774
       3216.40   8.049     30
       3214.26   8.043    379
       3212.43   8.039    331
    

in DMSO-d6



KBr disc



nujol mull