-
MS-NW-0533 ethyl salicylate C9H10O3 (Mass of molecular ion: 166)
Source Temperature: 260 °C Sample Temperature: 180 °C Reservoir, 75 eV
26.0 1.1 27.0 5.1 28.0 1.5 29.0 4.5 38.0 2.2 39.0 10.7 53.0 2.4 62.0 1.1 63.0 4.7 64.0 6.8 65.0 11.7 66.0 1.0 81.0 1.1 92.0 33.9 93.0 7.3 120.0 100.0 121.0 25.4 122.0 2.2 138.0 1.5 166.0 36.7 167.0 3.7
90 MHz in CDCl3
-
1H NMR 89.56 MHz C9 H10 O3 0.05 ml : 0.5 ml CDCl3 ethyl salicylate 
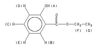
Assign. Shift(ppm)
A 10.9 B 7.830 C 7.418 D 6.96 E 6.85 F 4.380 G 1.394
Hz ppm Int.972.07 10.854 675 971.70 10.850 549 706.49 7.889 135 705.98 7.883 121 704.66 7.869 144 698.58 7.801 161 696.75 7.780 170 673.97 7.526 59 672.22 7.506 54 666.94 7.447 92 666.80 7.446 92 665.19 7.428 131 663.72 7.411 87 658.45 7.353 117 656.62 7.332 99 627.91 7.012 162 627.39 7.006 184 626.66 6.998 227 623.80 6.966 30 621.09 6.935 178 619.78 6.921 181 619.04 6.913 155 618.24 6.904 153 614.06 6.857 150 613.26 6.848 172 612.01 6.834 111 606.15 6.769 94 604.91 6.755 78 403.42 4.505 143 396.24 4.425 462 389.06 4.345 483 382.03 4.266 169 131.84 1.473 504 129.13 1.442 44 124.73 1.393 1000 122.46 1.368 47 121.88 1.361 43 121.51 1.357 43 117.55 1.313 450
更多供应商






