-
ppm Int. Assign.
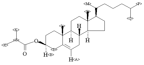
176.49 750 1 139.75 865 2 122.54 555 3 73.53 600 4 56.74 625 5 56.22 605 6 50.10 570 7 42.35 820 8 39.79 460 9 39.56 550 10 38.13 440 11 37.06 435 12 36.62 780 13 36.24 480 14 35.83 575 15 34.15 600 16 31.92 950 17 18 28.25 475 19 28.02 750 20 27.79 430 21 24.32 440 22 23.90 515 23 22.83 545 24 22.58 535 24 21.09 415 25 19.35 465 26 19.00 1000 27 18.75 460 28 11.87 435 29Spectral Code: 13C NMR : in CDCl3
更多供应商



