-
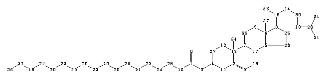
ppm Int. Assign.
173.22 248 1 139.74 223 2 122.58 170 3 73.67 155 4 56.75 150 5 56.22 146 6 50.12 141 7 42.36 238 8 39.80 126 9 39.57 146 10 38.22 117 11 37.08 121 12 36.64 243 13 36.25 112 14 35.84 155 15 34.75 121 16 31.95 345 17 18 19 29.74 1000 20 * 29.50 218 21 * 29.42 243 22 * 29.30 146 23 * 29.17 146 24 * 28.28 121 25 28.04 204 26 27.87 117 27 25.11 136 28 24.32 107 29 23.90 146 30 22.82 155 31 22.73 218 32 22.59 155 31 21.09 121 33 19.35 136 34 18.76 131 35 14.14 150 36 11.89 131 37Spectral Code: 13C NMR : in CDCl3
更多供应商




