图谱信息 供应商 相关产品
网站主页CAS数据库列表 119-67-5更多图谱邻羧基苯甲醛(119-67-5)红外图谱(IR1)

邻羧基苯甲醛

产品名称 邻羧基苯甲醛

CAS号119-67-5

分子式C8H6O3

分子量150.13

展开


  • Mass

    MS-NW-1828          
    phthalaldehydic acid
    C8H6O3              (Mass of molecular ion:    150)
    

       Source Temperature: 250 °C
       Sample Temperature: 180 °C
       Reservoir, 75 eV
    

          17.0       2.4
          18.0      10.4
          26.0       1.0
          27.0       3.6
          28.0       1.1
          29.0       3.9
          37.0       4.6
          37.5       1.1
          38.0       7.3
          39.0      11.7
          44.0       2.2
          45.0       2.3
          49.0       3.0
          50.0      27.9
          51.0      26.8
          52.0       6.5
          53.0       3.2
          61.0       1.7
          62.0       1.9
          63.0       2.4
          65.0      11.6
          66.0       2.2
          73.0       2.4
          74.0      10.0
          75.0       7.6
          76.0      30.2
          77.0      48.5
          78.0       6.5
          93.0       5.7
          94.0       2.1
         104.0      22.2
         105.0     100.0
         106.0      11.1
         121.0       3.6
         122.0      44.6
         123.0       3.5
         132.0       3.9
         133.0       5.6
         134.0       1.5
         148.0       1.3
         149.0       8.4
         150.0       6.6
    

400 MHz in DMSO-d6


  • 1H NMR 399.65 MHz
    C8 H6 O3 0.039 g : 0.5 ml DMSO-d6
    phthalaldehydic acid
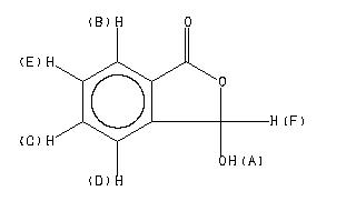
    ChemicalStructure
        Assign.     Shift(ppm)
    A 8.21 B 7.85 C 7.82 D 7.70 E 7.68 F 6.695

         Hz     ppm     Int.
    

       3284.61   8.219    223
       3276.82   8.200    249
       3139.95   7.857    678
       3132.17   7.838   1000
       3124.08   7.818    750
       3116.76   7.799    597
       3115.84   7.797    524
       3109.89   7.782     50
       3108.22   7.778     48
       3106.54   7.774     44
       3105.62   7.771     43
       3105.16   7.770     43
       3104.40   7.768     41
       3103.64   7.766     40
       3101.50   7.761     38
       3100.74   7.759     37
       3099.67   7.756     36
       3099.06   7.755     35
       3098.30   7.753     35
       3097.69   7.752     34
       3096.62   7.749     33
       3096.16   7.748     32
       3095.55   7.746     32
       3095.09   7.745     32
       3094.33   7.743     31
       3093.72   7.742     31
       3093.26   7.740     31
       3092.80   7.739     30
       3092.19   7.738     30
       3091.74   7.737     30
       3091.28   7.735     30
       3090.82   7.734     30
       3090.36   7.733     30
       3089.14   7.730     30
       3086.09   7.722     31
       3079.07   7.705    866
       3072.81   7.689    666
       3071.75   7.687    712
       3066.56   7.674    783
       3059.08   7.655    330
       2678.68   6.703    400
       2672.88   6.689    408
    

KBr disc



nujol mull