图谱信息 供应商 相关产品
网站主页CAS数据库列表 119-75-5更多图谱邻硝基二苯胺(119-75-5)核磁图(13CNMR)

邻硝基二苯胺

产品名称 邻硝基二苯胺

CAS号119-75-5

分子式C12H10N2O2

分子量214.22

展开


  • Mass

    MS-NW-0677          
    2-nitrodiphenylamine
    C12H10N2O2          (Mass of molecular ion:    214)
    

       Source Temperature: 170 °C
       Sample Temperature: 120 °C
       Direct, 75 eV
    

          18.0       1.1
          27.0       2.1
          28.0       1.5
          30.0       1.0
          38.0       2.2
          39.0       7.0
          50.0       5.9
          51.0      18.0
          52.0       3.7
          53.0       1.3
          62.0       1.4
          63.0       5.1
          64.0       3.2
          65.0       3.8
          66.0       1.2
          69.5       2.1
          70.0       1.1
          70.5       2.4
          74.0       1.7
          75.0       2.0
          76.0       2.2
          77.0      18.3
          78.0       2.7
          82.5       1.3
          83.5       7.9
          84.0       4.3
          89.0       1.8
          90.0       2.5
          91.0       1.8
          92.0       1.5
          94.0       1.0
         113.0       1.0
         114.0       1.3
         115.0       3.1
         116.0       1.1
         118.0       1.6
         127.0       1.3
         128.0       2.2
         129.0       2.4
         130.0       1.0
         131.0       1.0
         132.0       1.8
         139.0       7.6
         140.0       5.9
         141.0       1.8
         154.0       2.2
         155.0       1.2
         156.0       2.4
         157.0       4.1
         160.0       1.5
         166.0      14.5
         167.0      67.1
         168.0      20.1
         169.0      20.6
         170.0       2.5
         179.0       2.5
         180.0      22.0
         181.0       7.7
         182.0       1.3
         183.0       2.6
         184.0       1.4
         185.0       1.9
         197.0      12.0
         198.0       1.6
         214.0     100.0
         215.0      14.2
         216.0       1.1
    

90 MHz in CDCl3


  • 1H NMR 89.56 MHz
    C12 H10 N2 O2 0.047 g : 0.5 ml CDCl3
    2-nitrodiphenylamine
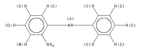
    ChemicalStructure
        Assign.     Shift(ppm)
    A 9.47 B 8.18 C 7.54 to 7.07 D 6.75

         Hz     ppm     Int.
    

        847.56   9.464     83
        737.94   8.240    187
        736.63   8.225    197
        729.25   8.143    196
        728.19   8.131    211
        673.19   7.517     46
        671.69   7.500     74
        669.44   7.475     71
        667.31   7.451     77
        666.13   7.438    129
        665.00   7.426    158
        663.88   7.413    210
        662.88   7.402    250
        661.63   7.388    209
        657.13   7.338    696
        652.63   7.288   1000
        649.19   7.249    456
        647.75   7.233    565
        646.13   7.215    296
        644.63   7.198    297
        640.56   7.153    160
        638.56   7.130    107
        636.56   7.108     48
        612.69   6.842    148
        610.88   6.821    140
        606.25   6.770    125
        604.25   6.747    218
        602.25   6.725    133
        597.81   6.675    111
        595.88   6.654    107
    

in CDCl3



CCl4 solution



KBr disc



nujol mull