图谱信息 供应商 相关产品
网站主页CAS数据库列表 119-91-5更多图谱2,2'-联喹啉(119-91-5)红外图谱(IR2)

2,2'-联喹啉

产品名称 2,2'-联喹啉

CAS号119-91-5

分子式C18H12N2

分子量256.3

展开


  • Mass

    MS-NW-2089          
    2,2'-biquinoline
    C18H12N2            (Mass of molecular ion:    256)
    

       Source Temperature: 190 °C
       Sample Temperature: 120 °C
       Direct, 75 eV
    

          18.0       2.4
          28.0       1.0
          50.0       1.3
          51.0       2.0
          75.0       2.3
          76.0       1.7
          77.0       2.3
         101.0       4.6
         102.0       3.6
         114.0       1.4
         127.0       1.7
         127.5       1.4
         128.0      12.4
         128.5       1.2
         129.0       1.9
         154.0       1.1
         227.0       1.3
         228.0       1.7
         229.0       1.0
         253.0       1.4
         254.0       1.9
         255.0      40.3
         256.0     100.0
         257.0      19.6
         258.0       1.9
    

parameter in CS2


  • 1H NMR 300 MHz
    C18 H12 N2 0.082 M in CS2
    2,2'-biquinoline
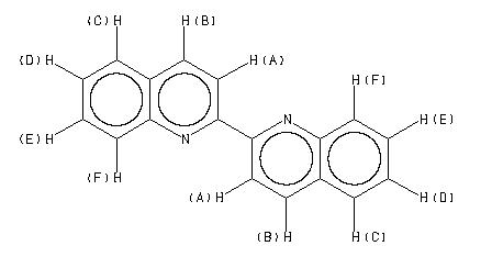
    ChemicalStructure
        Parameter     ppm  Hz
    D(A) 8.794 D(B) 8.164 D(C) 7.750 D(D) 7.453 D(E) 7.620 D(F) 8.073 J(A,B) 8.69 J(A,C) 0.0 J(A,D) 0.0 J(A,E) 0.0 J(A,F) 0.0 J(B,C) 0.15 J(B,D) 0.0 J(B,E) 0.0 J(B,F) 0.75 J(C,D) 8.09 J(C,E) 1.37 J(C,F) 0.60 J(D,E) 6.83 J(D,F) 1.20 J(E,F) 8.38 DRAKE,J.A.G. & JONES,D.W. ORG.MAGN.RESON. 18, 42 1982

         Hz     ppm     Int.
    

       2642.65   8.809    913
       2633.96   8.780   1000
       2453.78   8.179    579
       2453.12   8.177    596
       2445.09   8.150    525
       2444.43   8.148    549
       2426.75   8.089    333
       2426.21   8.087    363
       2425.67   8.086    335
       2418.40   8.061    376
       2417.86   8.060    409
       2417.32   8.058    379
       2329.66   7.766    319
       2328.79   7.763    333
       2321.62   7.739    381
       2320.74   7.736    403
       2294.38   7.648    242
       2292.98   7.643    238
       2287.56   7.625    336
       2286.12   7.620    484
       2284.65   7.615    225
       2279.22   7.597    291
       2277.81   7.593    264
       2243.53   7.478    325
       2242.30   7.474    326
       2236.69   7.456    275
       2235.49   7.452    507
       2234.29   7.448    293
       2228.67   7.429    211
       2227.45   7.425    206
    

in CDCl3



CCl4 solution



KBr disc



nujol mull