-
MS-NW-3093 2,4-dimethylquinoline C11H11N (Mass of molecular ion: 157)
Source Temperature: 280 °C Sample Temperature: 180 °C Reservoir, 75 eV
39.0 3.4 50.0 1.6 51.0 3.2 62.0 1.2 63.0 3.3 64.0 1.3 65.0 2.2 65.5 1.2 74.0 1.0 75.0 2.1 76.0 1.5 77.0 3.3 77.5 1.3 78.5 1.8 89.0 3.3 101.0 1.4 102.0 1.0 114.0 1.2 115.0 11.4 116.0 4.8 117.0 1.4 118.0 1.8 127.0 1.7 128.0 3.5 129.0 4.1 130.0 3.3 140.0 2.4 141.0 1.3 142.0 7.2 154.0 1.6 155.0 1.0 156.0 15.1 157.0 100.0 158.0 12.7 160.0 2.3 171.0 1.2
90 MHz in CDCl3
-
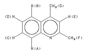
1H NMR 89.56 MHz C11 H11 N 0.05 ml : 0.5 ml CDCl3 2,4-dimethylquinoline 
Assign. Shift(ppm)
A 8.008 B 7.851 C 7.620 D 7.443 E 7.027 F 2.653 G 2.562
Hz ppm Int.723.44 8.078 47 722.88 8.072 50 721.75 8.059 61 715.38 7.988 65 714.50 7.978 82 713.69 7.969 82 713.13 7.963 77 708.88 7.916 47 708.44 7.911 47 707.31 7.898 51 706.44 7.888 42 700.69 7.824 77 699.13 7.807 84 691.25 7.719 41 689.50 7.699 48 684.44 7.643 90 682.69 7.623 69 676.38 7.553 72 674.38 7.530 51 672.63 7.511 80 671.00 7.493 82 665.81 7.435 39 664.50 7.420 65 663.13 7.405 51 629.88 7.034 141 629.00 7.024 137 237.63 2.654 1000 229.94 2.568 655 229.00 2.557 624
更多供应商




