图谱信息 供应商 相关产品
网站主页CAS数据库列表 1199-77-5更多图谱2-甲基-3-苯基丙烯酸(1199-77-5)红外图谱(IR2)

2-甲基-3-苯基丙烯酸

产品名称 2-甲基-3-苯基丙烯酸

CAS号1199-77-5

分子式C10H10O2

分子量162.19

展开


  • Mass

    MS-NW-6685          
    alpha-methylcinnamic acid
    C10H10O2            (Mass of molecular ion:    162)
    

       Source Temperature: 140 °C
       Sample Temperature: 110 °C
       Direct, 75 eV
    

          18.0       1.0
          26.0       1.0
          27.0       4.7
          28.0       1.9
          37.0       1.1
          38.0       3.0
          39.0      20.3
          40.0       1.8
          41.0       2.3
          43.0       3.7
          45.0       4.3
          50.0       7.7
          51.0      16.4
          52.0       3.1
          53.0       1.2
          55.0       2.2
          56.0       5.1
          57.0       2.1
          57.5       7.1
          58.0       3.8
          61.0       1.5
          62.0       4.7
          63.0      12.2
          64.0       2.2
          65.0      11.1
          66.0       1.3
          74.0       3.0
          75.0       3.3
          76.0       2.6
          77.0       9.4
          78.0       5.8
          79.0       9.2
          85.0       1.7
          86.0       1.5
          87.0       1.8
          88.0       1.0
          89.0       8.2
          90.0       1.8
          91.0      31.2
          92.0       3.0
          94.0       1.0
         102.0       3.6
         103.0       2.3
         105.0       4.9
         107.0       8.9
         114.0       1.6
         115.0      63.7
         116.0      79.0
         117.0      59.6
         118.0       6.1
         119.0       2.0
         133.0       3.2
         134.0       1.7
         143.0       2.3
         144.0       4.4
         145.0       4.2
         147.0       3.6
         161.0      34.5
         162.0     100.0
         163.0       9.8
    

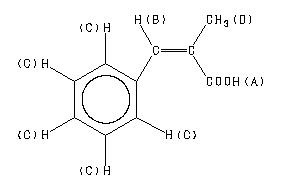
90 MHz in CDCl3


  • 1H NMR 89.56 MHz
    C10 H10 O2 0.042 g : 0.5 ml CDCl3
    alpha-methylcinnamic acid
    ChemicalStructure
        Assign.     Shift(ppm)
    A 12.30 B 7.840 C 7.57 to 7.23 D 2.147 J(B,D)=-1.5HZ.

         Hz     ppm     Int.
    

       1101.70  12.302     51
        704.36   7.865     57
        702.99   7.850    177
        701.54   7.834    181
        700.09   7.817     68
        677.01   7.560     30
        669.24   7.473     79
        665.48   7.431    140
        662.57   7.399    871
        659.58   7.365    199
        657.53   7.342     72
        655.91   7.324     40
        654.88   7.313     38
        654.20   7.305     42
        652.75   7.289     24
        648.22   7.238     26
        193.03   2.156    980
        191.58   2.140   1000
    

in CDCl3



KBr disc



nujol mull