-
MS-NW-7805 Fast Blue BB base C17H20N2O3 (Mass of molecular ion: 300)
Source Temperature: 180 °C Sample Temperature: 180 °C Direct, 75 eV
18.0 1.3 26.0 1.0 27.0 5.8 28.0 2.3 29.0 7.1 39.0 2.4 40.0 1.2 41.0 4.6 42.0 5.8 43.0 1.4 50.0 2.9 51.0 10.2 52.0 2.5 53.0 1.2 54.0 2.2 65.0 1.4 66.0 2.5 67.0 3.0 68.0 6.7 69.0 1.2 70.0 3.0 76.0 2.5 77.0 43.0 78.0 3.8 82.0 1.1 83.0 1.1 93.0 1.3 94.0 4.7 95.0 1.5 96.0 1.4 105.0 100.0 106.0 8.0 109.0 1.2 110.0 1.6 111.0 11.7 112.0 1.0 122.0 1.7 123.0 4.9 124.0 1.5 137.0 1.8 139.0 6.7 140.0 1.1 151.0 1.5 152.0 1.3 153.0 1.8 165.0 1.6 167.0 3.9 168.0 2.1 195.0 5.2 197.0 1.0 225.0 1.8 243.0 1.2 271.0 22.9 272.0 4.8 300.0 43.6 301.0 9.3 302.0 1.2
90 MHz in CDCl3
-
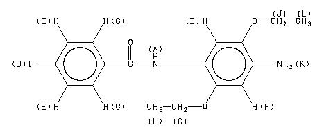
1H NMR 89.56 MHz C17 H20 N2 O3 0.033 g : 0.5 ml CDCl3 fast blue bb base 
Assign. Shift(ppm)
A 8.44 B 8.174 C 7.866 D 7.52 E 7.46 F 6.374 G *1 4.106 J *1 4.027 K 3.76 L 1.42 CONFIRMED BY LAOCN PROGRAM
Hz ppm Int.755.50 8.436 81 732.13 8.175 308 709.63 7.924 140 707.31 7.898 146 704.13 7.863 147 703.25 7.853 139 702.19 7.841 102 700.81 7.826 125 699.75 7.814 171 677.81 7.569 78 677.13 7.561 83 676.06 7.549 107 673.81 7.524 391 671.63 7.500 279 668.75 7.468 151 668.25 7.462 149 666.88 7.447 147 570.94 6.375 346 378.38 4.225 91 375.69 4.195 42 374.94 4.187 45 371.31 4.146 336 369.00 4.121 58 364.31 4.068 515 361.38 4.036 54 357.25 3.989 348 350.38 3.913 98 337.06 3.764 143 133.63 1.493 525 131.31 1.467 93 130.44 1.457 99 126.63 1.414 1000 119.69 1.337 451
更多供应商





