-
MS-NW-5492 ethyl 1-piperazinecarboxylate C7H14N2O2 (Mass of molecular ion: 158)
Source Temperature: 260 °C Sample Temperature: 180 °C Reservoir, 75 eV
15.0 4.1 18.0 1.1 26.0 1.9 27.0 10.9 28.0 17.8 29.0 35.1 30.0 13.2 41.0 3.6 42.0 19.0 43.0 10.2 44.0 100.0 45.0 3.1 54.0 2.6 55.0 14.8 56.0 66.2 57.0 22.6 58.0 5.0 68.0 1.8 69.0 22.4 70.0 6.2 71.0 1.6 72.0 15.3 74.0 2.1 75.0 1.2 76.0 1.1 83.0 3.8 84.0 1.9 85.0 12.0 86.0 1.4 88.0 2.7 90.0 1.8 100.0 2.0 102.0 1.2 113.0 11.2 114.0 1.1 115.0 5.4 116.0 40.7 117.0 2.6 128.0 1.1 129.0 2.3 158.0 19.9 159.0 1.9
90 MHz in CDCl3
-
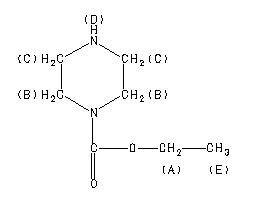
1H NMR 89.56 MHz C7 H14 N2 O2 0.04 ml : 0.5 ml CDCl3 ethyl 1-piperazinecarboxylate 
Assign. Shift(ppm)
A 4.133 B 3.44 C 2.82 D 1.74 E 1.260
Hz ppm Int.381.13 4.256 143 374.00 4.176 456 366.88 4.097 481 359.81 4.018 163 313.00 3.495 356 308.19 3.442 438 306.31 3.421 226 302.88 3.382 512 257.13 2.872 497 253.75 2.834 219 251.81 2.812 456 247.00 2.758 346 155.38 1.735 624 119.81 1.338 507 112.69 1.259 1000 105.63 1.180 448
更多供应商





