-
MS-NW-0808 isosafrole C10H10O2 (Mass of molecular ion: 162)
Source Temperature: 230 °C Sample Temperature: 150 °C Reservoir, 75 eV
27.0 2.2 28.0 1.3 38.0 1.8 39.0 7.0 41.0 1.2 50.0 6.0 51.0 12.2 52.0 4.0 53.0 2.4 61.0 1.1 62.0 3.9 63.0 8.4 64.0 1.6 65.0 3.7 66.0 1.2 74.0 2.9 75.0 3.2 76.0 4.3 77.0 19.0 78.0 14.5 79.0 3.9 80.0 1.3 81.0 3.0 89.0 3.0 91.0 6.6 92.0 1.5 102.0 5.7 103.0 29.1 104.0 35.0 105.0 7.3 106.0 1.0 115.0 1.6 119.0 1.8 131.0 32.6 132.0 10.4 133.0 2.7 134.0 1.4 135.0 14.9 136.0 1.3 147.0 1.0 161.0 29.3 162.0 100.0 163.0 11.7 164.0 1.0
400 MHz in CDCl3
-
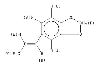
1H NMR 399.65 MHz C10 H10 O2 0.05 ml : 0.5 ml CDCl3 isosafrole 
Assign. Shift(ppm)
A 6.85 B 6.70 C 6.70 D 6.270 E 6.021 F 5.861 G 1.811 J(D,E)=15.8HZ J(D,G)=-1.7HZ
Hz ppm Int.2737.55 6.850 240 2677.73 6.701 323 2676.88 6.699 507 2676.03 6.696 520 2668.82 6.678 33 2516.60 6.298 49 2515.14 6.294 98 2513.43 6.290 91 2511.84 6.286 36 2501.10 6.259 43 2499.51 6.255 113 2497.80 6.250 114 2496.22 6.247 46 2423.22 6.064 49 2416.63 6.047 150 2409.91 6.031 153 2407.47 6.024 39 2403.32 6.014 49 2400.88 6.008 116 2394.29 5.991 118 2387.70 5.975 38 2342.65 5.862 1000 727.91 1.822 423 726.20 1.818 414 721.31 1.805 408 719.60 1.801 406
更多供应商






