图谱信息 供应商 相关产品
网站主页CAS数据库列表 120-71-8更多图谱2-甲氧基-5-甲基苯胺(120-71-8)红外图谱(IR1)

2-甲氧基-5-甲基苯胺

产品名称 2-甲氧基-5-甲基苯胺

CAS号120-71-8

分子式C8H11NO

分子量137.18

展开


  • Mass

    MS-NW-4784          
    5-methyl-o-anisidine
    C8H11NO             (Mass of molecular ion:    137)
    

       Source Temperature: 260 °C
       Sample Temperature: 180 °C
       Reservoir, 75 eV
    

          15.0       1.7
          27.0       2.0
          28.0       3.5
          38.0       1.4
          39.0       6.0
          40.0       1.5
          41.0       4.3
          42.0       3.1
          50.0       1.4
          51.0       4.0
          52.0       3.3
          53.0       2.8
          54.0       2.9
          63.0       1.4
          65.0       4.6
          66.0       5.8
          67.0       5.9
          77.0      16.5
          78.0       3.5
          79.0       3.8
          91.0       1.2
          92.0       1.7
          93.0       8.5
          94.0      48.6
          95.0       3.9
         104.0       1.5
         106.0       4.0
         108.0       1.1
         121.0       2.9
         122.0     100.0
         123.0       8.4
         136.0       1.4
         137.0      72.8
         138.0       6.7
    

90 MHz in CDCl3


  • 1H NMR 89.56 MHz
    C8 H11 N O 0.043 g : 0.5 ml CDCl3
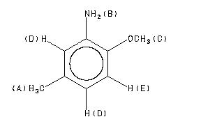
    5-methyl-o-anisidine
    ChemicalStructure
        Assign.     Shift(ppm)
    A 2.205 B 3.65 C 3.791 D 6.41 to 6.57 E 6.65

         Hz     ppm     Int.
    

        601.81   6.720     46
        595.50   6.650     27
        593.06   6.622    154
        587.25   6.558     24
        586.56   6.550     30
        585.19   6.535    171
        584.63   6.528    223
        584.00   6.521    153
        582.88   6.509     73
        582.25   6.502     64
        578.44   6.459     33
        577.81   6.452     33
        339.56   3.792   1000
        327.25   3.654    503
        197.56   2.206    594
    

in CDCl3



CCl4 solution



KBr disc



nujol mull