图谱信息 供应商 相关产品
网站主页CAS数据库列表 1205-02-3更多图谱N-苯甲酰-DL-丙氨酸(1205-02-3)质谱(MS)

N-苯甲酰-DL-丙氨酸

产品名称 N-苯甲酰-DL-丙氨酸

CAS号1205-02-3

分子式C10H11NO3

分子量193.2

展开


  • Mass

    MS-NW-8504          
    N-benzoyl-DL-alanine
    C10H11NO3           (Mass of molecular ion:    193)
    

       Source Temperature: 190 °C
       Sample Temperature: 140 °C
       Direct, 75 eV
    

          18.0       1.8
          27.0       1.8
          28.0       2.1
          42.0       2.6
          44.0       1.9
          45.0       1.0
          50.0       3.8
          51.0      13.2
          52.0       1.1
          71.0       1.2
          74.0       1.5
          76.0       2.1
          77.0      38.5
          78.0       3.3
         105.0     100.0
         106.0       8.3
         148.0      33.4
         149.0      10.4
         175.0       1.2
         193.0       4.7
    

90 MHz in DMSO-d6


  • 1H NMR 89.56 MHz
    C10 H11 N O3 0.0125 g : 0.5 ml DMSO-d6
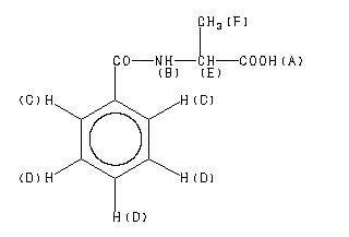
    N-benzoyl-DL-alanine
    ChemicalStructure
        Assign.     Shift(ppm)
    A 12. B 8.69 C 7.925 D 7.59 to 7.39 E 4.488 F 1.443 COOH-PEAK SPREAD IN THE BASE LINE. J(B,E)=7.2HZ

         Hz     ppm     Int.
    

        782.59   8.739    210
        775.39   8.658    226
        719.48   8.034     44
        716.06   7.996    278
        714.11   7.974    386
        710.94   7.939    305
        709.35   7.921    343
        706.30   7.887    491
        704.35   7.865    143
        701.54   7.834     57
        701.05   7.828     59
        699.34   7.809     41
        683.72   7.635     34
        679.32   7.586    110
        677.98   7.571    221
        677.00   7.560    217
        675.05   7.538    832
        673.22   7.517    815
        669.92   7.481    409
        667.85   7.458    442
        664.92   7.425    146
        663.45   7.408    151
        660.77   7.378     72
        658.94   7.358     71
        417.24   4.659     35
        409.91   4.577    167
        402.59   4.496    273
        399.41   4.460     46
        398.68   4.452     44
        397.95   4.444     45
        395.26   4.414    182
        388.06   4.333     47
        132.93   1.485   1000
        125.61   1.403    962
    

DMSO-d6



KBr disc



nujol mull



4880 A,200 M,powder