图谱信息 供应商 相关产品
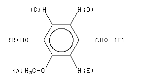
网站主页CAS数据库列表 121-33-5更多图谱香兰素(121-33-5)核磁图(1HNMR)

香兰素

产品名称 香兰素

CAS号121-33-5

分子式C8H8O3

分子量152.15

展开





  •     Assign.     Shift(ppm)
    A 3.959 B 6.39 C 7.047 D 7.42 E 7.42 F 9.823
    Spectral Code: 1H NMR : 90 MHz in CDCl3