图谱信息 供应商 相关产品
网站主页CAS数据库列表 121-92-6更多图谱间硝基苯甲酸(121-92-6)红外图谱(IR1)

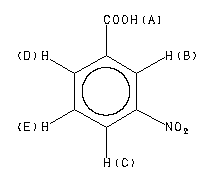
间硝基苯甲酸

产品名称 间硝基苯甲酸

CAS号121-92-6

分子式C7H5NO4

分子量167.12

展开





  •     Assign.     Shift(ppm)
    A 11.67 B 8.960 C 8.49 D 8.47 E 7.737
    Spectral Code: 1H NMR : 90 MHz in CDCl3








  • Spectral Code: Raman : 4880 A,200 M,powder