图谱信息 供应商 相关产品
网站主页CAS数据库列表 1210-35-1更多图谱10,11-二氢二苯并[a,b]环庚烯-5-酮(1210-35-1)红外图谱(IR1)

10,11-二氢二苯并[a,b]环庚烯-5-酮

产品名称 10,11-二氢二苯并[a,b]环庚烯-5-酮

CAS号1210-35-1

分子式C15H12O

分子量208.26

展开


  • Mass

    MS-NW-5881          
    10,11-dihydro-5H-dibenzo(a,d)cyclohepten-5-one
    C15H12O             (Mass of molecular ion:    208)
    

       Source Temperature: 270 °C
       Sample Temperature: 190 °C
       Reservoir, 75 eV
    

          27.0       1.1
          39.0       4.2
          50.0       2.9
          51.0       5.5
          52.0       1.0
          62.0       1.9
          63.0       6.3
          64.0       2.1
          65.0       1.6
          74.0       2.0
          75.0       2.9
          76.0       9.7
          76.5       1.1
          77.0       6.3
          78.0       1.6
          82.5       2.2
          87.0       1.4
          88.0       3.4
          88.5       1.3
          89.0      16.0
          89.5       2.4
          90.0       6.2
          91.0       2.7
         102.0       2.1
         103.0       3.4
         103.5       1.0
         104.0       1.2
         105.0       1.4
         115.0       2.4
         126.0       1.3
         127.0       1.0
         128.0       1.2
         130.0       1.9
         131.0       2.4
         139.0       2.3
         150.0       1.6
         151.0       4.4
         152.0       8.4
         153.0       2.0
         163.0       1.3
         164.0       1.2
         165.0      23.0
         166.0       3.6
         176.0       5.8
         177.0       5.4
         178.0      33.3
         179.0      47.7
         180.0      49.3
         181.0       7.5
         191.0       1.5
         193.0       5.4
         194.0       1.1
         206.0       1.6
         207.0      32.6
         208.0     100.0
         209.0      16.2
         210.0       1.4
    

400 MHz in CDCl3

90 MHz in CDCl3


  • 1H NMR 399.65 MHz
    C15 H12 O 0.05 ml : 0.5 ml CDCl3
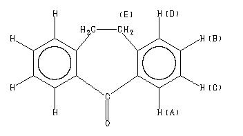
    10,11-dihydro-5H-dibenzo(a,d)cyclohepten-5-one
    ChemicalStructure
        Assign.     Shift(ppm)
    A 7.992 B 7.372 C 7.278 D 7.159 E 3.127

         Hz     ppm     Int.
    

       3198.97   8.005    240
       3197.63   8.002    231
       3191.16   7.985    252
       3189.70   7.982    244
       2955.44   7.396    125
       2953.98   7.392    126
       2948.12   7.377    291
       2946.53   7.373    270
       2940.67   7.359    213
       2939.09   7.355    196
       2916.26   7.298    171
       2915.04   7.294    178
       2908.57   7.278    230
       2907.35   7.275    230
       2901.12   7.260    121
       2899.78   7.256    116
       2865.11   7.170    247
       2864.01   7.167    232
       2857.42   7.150    207
       2856.45   7.148    197
       1249.88   3.128   1000
    


  • 1H NMR 89.56 MHz
    C15 H12 O 0.04 ml : 0.5ml CDCl3
    10,11-dihydro-5H-dibenzo(a,d)cyclohepten-5-one
    ChemicalStructure
        Assign.     Shift(ppm)
    A 7.996 B 7.40 C 7.30 D 7.19 E 3.180

         Hz     ppm     Int.
    

        721.63   8.058    102
        721.00   8.051    103
        719.75   8.037    104
        718.50   8.023     88
        714.31   7.976    261
        712.25   7.953    159
        711.81   7.948    155
        673.25   7.518     35
        671.31   7.496     53
        666.88   7.447     33
        665.94   7.436    155
        664.38   7.419    101
        663.94   7.414    116
        661.06   7.382    136
        659.63   7.366    416
        658.44   7.352    342
        657.06   7.337    284
        653.81   7.301    131
        651.75   7.278    206
        648.00   7.236    249
        645.88   7.212    164
        644.38   7.195     46
        642.19   7.171     58
        641.75   7.166     51
        640.94   7.157     59
        639.25   7.138     72
        284.88   3.181   1000
    

liquid film