图谱信息 供应商 相关产品
网站主页CAS数据库列表 1210-66-8更多图谱N-苯基-N-(9H-嘌呤-6-基)胺(1210-66-8)核磁图(1HNMR)

N-苯基-N-(9H-嘌呤-6-基)胺

产品名称 N-苯基-N-(9H-嘌呤-6-基)胺

CAS号1210-66-8

分子式C11H9N5

分子量211.22

展开


  • Mass

    MS-NW-7135          
    6-anilinopurine
    C11H9N5             (Mass of molecular ion:    211)
    

       Source Temperature: 200 °C
       Sample Temperature: 160 °C
       Direct, 75 eV
    

          18.0       4.2
          27.0       1.2
          28.0       8.8
          29.0       1.5
          38.0       1.6
          39.0       3.9
          40.0       1.5
          50.0       2.3
          51.0       7.7
          52.0       1.7
          53.0       2.0
          54.0       1.3
          63.0       1.5
          64.0       1.5
          65.0       6.1
          66.0       3.5
          67.0       1.3
          76.0       2.1
          77.0      14.2
          78.0       1.9
          78.5       1.5
          91.0       1.2
          92.0       7.9
          93.0       3.5
         102.0       1.5
         103.0       3.6
         104.0       3.4
         105.0       1.4
         105.5       5.3
         108.0       1.0
         115.0       1.8
         119.0       3.1
         129.0       2.6
         131.0       1.2
         142.0       1.3
         156.0       4.8
         157.0       2.6
         183.0       3.2
         184.0       1.1
         209.0       1.1
         210.0     100.0
         211.0      65.3
         212.0       8.5
    

400 MHz in DMSO-d6


  • 1H NMR 399.65 MHz
    C11 H9 N5 0.038 g : 0.5 ml DMSO-d6
    6-anilinopurine
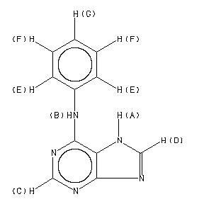
    ChemicalStructure
        Assign.     Shift(ppm)
    A *1 13.1 B *1 9.8 C 8.419 D 8.317 E 7.99 F 7.349 G 7.046

         Hz     ppm     Int.
    

       3906.15   9.774    149
       3905.72   9.773    149
       3364.88   8.420   1000
       3324.28   8.318    803
       3197.57   8.001    407
       3189.88   7.982    428
       2947.34   7.375     60
       2945.42   7.371    356
       2943.50   7.366    134
       2937.94   7.352    493
       2936.87   7.349    480
       2931.32   7.335    145
       2929.40   7.330    389
       2927.47   7.326     70
       2824.26   7.067    107
       2823.19   7.065    194
       2821.91   7.061    129
       2815.72   7.046    350
       2809.52   7.030     98
       2808.45   7.028    166
       2807.38   7.025    100
    

DMSO-d6



KBr disc



nujol mull



4880 A,200 M,powder