图谱信息 供应商 相关产品
网站主页CAS数据库列表 1214-39-7更多图谱6-苄氨基嘌呤(1214-39-7)质谱(MS)

6-苄氨基嘌呤

产品名称 6-苄氨基嘌呤

CAS号1214-39-7

分子式C12H11N5

分子量225.25

展开


  • Mass

    MS-NW-6888          
    6-(benzylamino)purine
    C12H11N5            (Mass of molecular ion:    225)
    

       Source Temperature: 210 °C
       Sample Temperature: 170 °C
       Direct, 75 eV
    

          17.0       1.2
          18.0       5.7
          27.0       1.7
          28.0      13.1
          30.0       2.3
          38.0       1.2
          39.0       5.4
          40.0       1.7
          41.0       2.0
          43.0       1.2
          50.0       1.5
          51.0       4.1
          52.0       1.5
          53.0       2.3
          54.0       1.2
          63.0       3.0
          64.0       1.2
          65.0      14.7
          66.0       6.4
          67.0       3.0
          68.0       1.0
          77.0       5.1
          78.0       1.6
          79.0       8.9
          80.0       1.2
          89.0       3.8
          90.0       1.7
          91.0      36.9
          92.0       6.0
          93.0      11.3
          94.0       3.9
         104.0       2.8
         105.0       1.1
         106.0      82.9
         107.0       7.2
         111.5       1.5
         112.5       2.7
         116.0       1.2
         119.0       9.5
         120.0      15.4
         121.0       7.3
         142.0       1.1
         148.0       9.7
         149.0       1.0
         169.0       1.2
         170.0       1.1
         197.0       3.4
         198.0       1.3
         208.0       1.1
         209.0       3.6
         224.0      38.9
         225.0     100.0
         226.0      14.6
         227.0       1.1
    

400 MHz in DMSO-d6


  • 1H NMR 399.65 MHz
    C12 H11 N5 0.037 g : 0.5 ml DMSO-d6
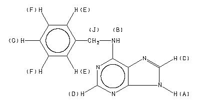
    6-(benzylamino)purine
    ChemicalStructure
        Assign.     Shift(ppm)
    A *1 13.0 B *1 8.2 C *2 8.23 D *2 8.16 E 7.376 F 7.306 G 7.220 J 3.475

         Hz     ppm     Int.
    

       5199.57  13.011     82
       3290.31   8.233    387
       3260.39   8.159    466
       2952.69   7.389    608
       2945.21   7.370   1000
       2927.26   7.325    502
       2919.99   7.307    877
       2912.30   7.288    480
       2899.48   7.256     36
       2897.56   7.251     35
       2891.79   7.236    286
       2884.52   7.218    373
       2877.26   7.200    146
       1389.16   3.476    643
    

in DMSO-d6



KBr disc



nujol mull