图谱信息 供应商 相关产品
网站主页CAS数据库列表 1218-34-4更多图谱N-乙酰-L-色氨酸(1218-34-4)核磁图(1HNMR)

N-乙酰-L-色氨酸

产品名称 N-乙酰-L-色氨酸

CAS号1218-34-4

分子式C13H14N2O3

分子量246.26

展开


  • Mass

    MS-NW-2348          
    N(alpha)-acetyl-L-tryptophan
    C13H14N2O3          (Mass of molecular ion:    246)
    

       Source Temperature: 280 °C
       Sample Temperature: 150 °C
       Direct, 75 eV
    

          15.0       1.1
          17.0       1.0
          18.0       5.3
          28.0       2.0
          43.0       6.7
          44.0       1.0
          51.0       1.4
          63.0       1.0
          76.0       1.0
          77.0       5.8
         102.0       2.5
         103.0       4.8
         115.0       1.6
         117.0       2.5
         128.0       1.5
         129.0       3.1
         130.0     100.0
         131.0      10.4
         132.0       1.1
         143.0       1.0
         157.0       1.2
         158.0       1.7
         159.0       1.7
         170.0       1.1
         187.0      12.4
         188.0       1.5
         228.0       3.2
         246.0       4.1
    

400 MHz in DMSO-d6


  • 1H NMR 399.65 MHz
    C13 H14 N2 O3 0.041 g : 0.5 ml DMSO-d6
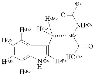
    N(alpha)-acetyl-L-tryptophan
    ChemicalStructure
        Assign.     Shift(ppm)
    A 12.6 B 10.8 C 8.17 D 7.542 E 7.345 F 7.152 G 7.071 J 6.994 K 4.485 L *1 3.175 M *1 3.010 N 1.816

         Hz     ppm     Int.
    

       4330.97  10.837     93
       3267.69   8.177    100
       3260.00   8.158    103
       3018.40   7.553    106
       3010.52   7.533    116
       2939.46   7.356    128
       2932.31   7.338    109
       2931.58   7.336    153
       2859.78   7.156    158
       2857.40   7.150    155
       2834.68   7.093     55
       2833.59   7.091     57
       2827.72   7.076     96
       2826.63   7.073    114
       2819.67   7.056     78
       2818.57   7.053     72
       2802.45   7.013     86
       2801.35   7.010     87
       2795.30   6.995     86
       2794.39   6.993    126
       2793.66   6.991     96
       2787.61   6.976     60
       2786.51   6.973     56
       1803.64   4.514     33
       1798.51   4.501     43
       1795.03   4.492     63
       1790.45   4.481     62
       1787.16   4.472     47
       1782.03   4.459     36
       1279.97   3.203     45
       1275.02   3.191     48
       1265.50   3.167     69
       1260.37   3.154     65
       1213.48   3.037     68
       1204.87   3.015     69
       1198.82   3.000     50
       1190.22   2.979     46
        725.89   1.817   1000
    

in DMSO-d6



KBr disc



nujol mull