图谱信息 供应商 相关产品
网站主页CAS数据库列表 122-09-8更多图谱芬特明(122-09-8)核磁图(1HNMR)

芬特明

产品名称 芬特明

CAS号122-09-8

分子式C10H15N

分子量149.24

展开



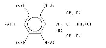
  •     Assign.     Shift(ppm)
    A 7.50 to 7.10 B 2.713 C 1.22 D 1.173
    Spectral Code: 1H NMR : 90 MHz in CDCl3



  •        ppm   Int.  Assign.
    138.54 317 1 130.41 941 2 127.93 1000 3 126.20 532 4 51.21 538 5 49.89 409 6 30.42 833 7
    Spectral Code: 13C NMR : in CDCl3


  • Spectral Code: IR : liquid film


  • Spectral Code: Raman : 4880 A,200 M,liquid

更多供应商