图谱信息 供应商 相关产品
网站主页CAS数据库列表 122-32-7更多图谱三油酸甘油酯(122-32-7)红外图谱(IR1)

三油酸甘油酯

产品名称 三油酸甘油酯

CAS号122-32-7

分子式C57H104O6

分子量885.43

展开


  • Mass

    MS-NW-9071          
    1,2,3-propanetriyl trioleate
    C57H104O6           (Mass of molecular ion:    884)
    

       Source Temperature: 250 °C
       Sample Temperature: 240 °C
       Direct, 75 eV
    

          18.0       1.7
          26.0       1.1
          27.0       7.4
          28.0       3.9
          29.0      12.3
          39.0       7.1
          40.0       1.5
          41.0      36.4
          42.0       8.0
          43.0      34.2
          44.0       2.5
          45.0       1.7
          53.0       4.1
          54.0      14.0
          55.0      64.6
          56.0      16.7
          57.0      36.7
          58.0       2.4
          59.0       1.2
          60.0       3.7
          65.0       1.3
          66.0       1.9
          67.0      35.5
          68.0      15.3
          69.0      56.9
          70.0      15.1
          71.0      17.7
          72.0       1.2
          73.0       5.1
          77.0       1.9
          78.0       1.1
          79.0       9.5
          80.0       7.1
          81.0      39.4
          82.0      21.3
          83.0      53.8
          84.0      17.7
          85.0      12.2
          86.0       1.0
          87.0       2.3
          91.0       4.1
          92.0       1.7
          93.0       9.2
          94.0       6.7
          95.0      36.7
          96.0      21.0
          97.0      42.3
          98.0      31.5
          99.0       7.3
         100.0       3.0
         101.0       3.0
         105.0       3.3
         107.0       7.8
         108.0       5.9
         109.0      23.0
         110.0      13.5
         111.0      24.1
         112.0      12.6
         113.0       6.1
         114.0       3.1
         116.0       3.4
         117.0       2.5
         119.0       3.9
         120.0       2.0
         121.0      13.7
         122.0       4.6
         123.0      15.3
         124.0       9.6
         125.0      11.4
         126.0       5.4
         127.0       6.3
         129.0       9.5
         131.0       1.3
         133.0       5.0
         134.0       3.7
         135.0      13.4
         136.0       4.6
         137.0      13.4
         138.0       8.0
         139.0       7.4
         140.0       2.7
         141.0       5.1
         143.0       2.1
         145.0       1.0
         147.0       4.4
         148.0       3.2
         149.0       8.5
         150.0       4.4
         151.0      12.9
         152.0       8.6
         153.0       6.7
         154.0       2.3
         155.0       5.5
         157.0       2.2
         158.0       3.4
         161.0       3.2
         162.0       1.7
         163.0       5.3
         164.0       4.8
         165.0       9.6
         166.0       6.6
         167.0       5.3
         168.0       2.1
         169.0       4.1
         171.0       6.9
         172.0       2.4
         175.0       2.4
         177.0       3.4
         178.0       3.5
         179.0       5.9
         180.0       4.5
         181.0       3.9
         182.0       1.7
         183.0       3.0
         185.0       6.1
         186.0       1.5
         187.0       1.3
         189.0       1.8
         191.0       2.4
         192.0       1.6
         193.0       3.8
         194.0       2.4
         195.0       2.5
         196.0       1.2
         197.0       1.6
         199.0       2.4
         201.0       1.2
         203.0       1.2
         205.0       1.7
         206.0       1.2
         207.0       4.0
         208.0       2.4
         209.0       2.5
         210.0       1.1
         211.0       1.5
         213.0       3.0
         214.0       1.5
         215.0       1.0
         218.0       1.1
         219.0       1.3
         220.0       6.7
         221.0       5.7
         222.0       4.0
         223.0       2.0
         225.0       1.4
         226.0       1.0
         227.0       5.3
         228.0       1.3
         229.0       1.6
         233.0       1.6
         234.0       2.4
         235.0       3.1
         236.0       3.2
         237.0       2.1
         238.0       1.0
         239.0       2.5
         240.0       2.0
         241.0       3.8
         242.0       2.3
         243.0       1.8
         245.0       4.2
         246.0       8.7
         247.0       8.0
         248.0       2.4
         249.0       1.7
         250.0       1.0
         251.0       1.2
         253.0       1.9
         254.0       1.2
         255.0       2.1
         256.0       1.7
         259.0       1.1
         260.0       3.3
         261.0       3.9
         262.0      33.7
         263.0      17.3
         264.0      62.7
         265.0      58.9
         266.0      11.1
         267.0       4.6
         268.0       1.1
         269.0       1.3
         275.0       1.2
         276.0       2.1
         277.0       2.7
         278.0       3.5
         279.0       6.9
         280.0       5.1
         281.0       5.1
         282.0       3.2
         283.0       2.1
         284.0       2.0
         293.0       1.0
         295.0       2.3
         297.0       1.7
         307.0       1.0
         309.0       1.3
         311.0       1.1
         313.0       1.1
         318.0       1.0
         320.0       2.0
         321.0       2.3
         322.0       1.9
         323.0       3.9
         324.0       1.1
         325.0       2.1
         335.0       1.7
         336.0       3.3
         337.0       9.3
         338.0      22.1
         339.0      59.5
         340.0      13.8
         341.0       7.3
         342.0       1.5
         351.0       1.5
         352.0       1.1
         353.0       2.8
         354.0       1.2
         355.0       2.4
         356.0       1.2
         357.0       1.2
         365.0       1.1
         367.0       2.1
         380.0       3.4
         381.0       3.4
         382.0       1.3
         393.0      21.3
         394.0       6.0
         395.0       2.6
         407.0       2.1
         409.0       1.1
         419.0       1.1
         421.0       1.3
         433.0       1.0
         435.0       2.5
         436.0       2.1
         437.0       1.1
         447.0       2.6
         448.0       1.4
         449.0      14.6
         450.0       5.6
         451.0       3.2
         452.0       1.0
         461.0       1.0
         463.0       2.8
         464.0       2.2
         465.0       2.8
         466.0       1.0
         475.0       1.3
         476.0       1.3
         477.0       2.4
         478.0       1.9
         479.0       2.1
         489.0       1.4
         490.0       1.4
         491.0       2.4
         492.0       2.6
         493.0       3.8
         494.0       1.6
         495.0       1.0
         503.0       2.8
         504.0       2.3
         505.0       4.2
         506.0       5.7
         507.0       3.2
         508.0       1.5
         509.0       1.2
         517.0       1.8
         518.0       1.7
         519.0       2.4
         520.0       3.6
         521.0       1.9
         529.0       2.0
         531.0       1.1
         534.0       1.0
         559.0       1.8
         576.0       1.3
         577.0       2.4
         578.0       1.0
         589.0       1.6
         590.0       1.3
         591.0       1.5
         600.0       7.1
         602.0      69.9
         603.0     100.0
         604.0      41.4
         605.0      18.3
         606.0       2.7
         616.0       3.7
         617.0       5.1
         618.0       4.5
         619.0       5.8
         620.0       3.0
         621.0       1.1
         866.0       1.7
         884.0       3.7
    

90 MHz in CDCl3


  • 1H NMR 89.56 MHz
    C57 H104 O6 0.04 ml : 0.5 ml CDCl3
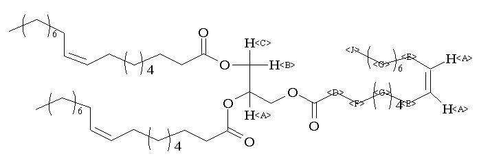
    1,2,3-propanetriyl trioleate
    ChemicalStructure
        Assign.     Shift(ppm)
    A 5.59 to 5.05 B *1 4.29 C *1 4.14 D 2.32 E 2.01 F 1.61 G 1.46 to 1.11 J 0.89 J(A,B)=4.4HZ. J(A,C)=6.0HZ. J(B,C)=-11.9HZ.

         Hz     ppm     Int.
    

        482.88   5.392     65
        481.19   5.373     44
        478.13   5.339    162
        473.44   5.287     65
        472.69   5.278     66
        382.88   4.276     59
        377.63   4.217     73
        371.63   4.150     54
        213.81   2.388     37
        213.63   2.386     37
        206.94   2.311    105
        199.69   2.230     84
        182.38   2.037     97
        177.13   1.978    108
        172.69   1.929     56
        144.06   1.609     39
        142.56   1.592     37
        140.13   1.565     30
        139.75   1.561     30
        139.38   1.557     31
        138.69   1.549     31
        138.31   1.545     31
        138.06   1.542     31
        136.94   1.530     31
        136.56   1.525     31
        135.94   1.518     31
        130.94   1.463     30
        113.50   1.268   1000
         83.81   0.936     77
         80.88   0.904     62
         78.69   0.879    230
         72.69   0.812     57
    

CCl4 solution



liquid film