图谱信息 供应商 相关产品
网站主页CAS数据库列表 122-40-7更多图谱甲位戊基桂醛(122-40-7)核磁图(13CNMR)

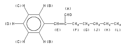
甲位戊基桂醛

产品名称 甲位戊基桂醛

CAS号122-40-7

分子式C14H18O

分子量202.29

展开





  •     Assign.     Shift(ppm)
    A 9.545 B 7.50 C 7.44 D 7.39 E 7.200 F 2.524 G 1.50 J 1.36 K 1.34 L 0.893
    Spectral Code: 1H NMR : 400 MHz in CDCl3



  •        ppm   Int.  Assign.
    195.46 423 1 149.59 433 2 143.40 373 3 135.05 337 4 129.61 948 5 129.50 437 6 128.77 1000 7 32.06 426 8 28.00 446 9 24.76 469 10 22.40 477 11 13.99 444 12
    Spectral Code: 13C NMR : in CDCl3


  • Spectral Code: IR : liquid film


  • Spectral Code: Raman : 4880 A,200 M,liquid