图谱信息 供应商 相关产品
网站主页CAS数据库列表 122-66-7更多图谱1,2-二苯肼(122-66-7)质谱(MS)

1,2-二苯肼

产品名称 1,2-二苯肼

CAS号122-66-7

分子式C12H12N2

分子量184.24

展开





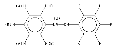
  •     Assign.     Shift(ppm)
    A 7.18 B 6.87 to 6.76 C 5.51
    Spectral Code: 1H NMR : 90 MHz in CDCl3



  •        ppm   Int.  Assign.
    148.85 433 1 129.30 951 2 119.81 502 3 112.31 1000 4
    Spectral Code: 13C NMR : in CDCl3


  • Spectral Code: IR : KBr disc