图谱信息 供应商 相关产品
网站主页CAS数据库列表 122-94-1更多图谱4-正丁氧基苯酚(122-94-1)红外图谱(IR2)

4-正丁氧基苯酚

产品名称 4-正丁氧基苯酚

CAS号122-94-1

分子式C10H14O2

分子量166.22

展开





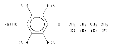
  •     Assign.     Shift(ppm)
    A 6.76 B 5.04 C 3.898 D 1.73 E 1.45 F 0.96
    Spectral Code: 1H NMR : 90 MHz in CDCl3



  •        ppm   Int.  Assign.
    153.12 322 1 149.63 383 2 116.32 907 3 * 116.10 1000 4 * 68.97 448 5 31.43 426 6 19.25 470 7 13.82 410 8
    Spectral Code: 13C NMR : in CDCl3