图谱信息 供应商 相关产品
网站主页CAS数据库列表 123-01-3更多图谱正十二烷基苯(123-01-3)质谱(MS)

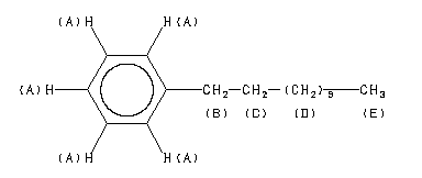
正十二烷基苯

产品名称 正十二烷基苯

CAS号123-01-3

分子式C18H30

分子量246.43

展开





  •     Assign.     Shift(ppm)
    A 7.39 to 7.01 B 2.59 C 1.60 D 1.26 E 0.89
    Spectral Code: 1H NMR : 90 MHz in CDCl3



  •        ppm   Int.  Assign.
    142.91 333 1 128.40 776 2 * 128.21 771 3 * 125.55 393 4 36.07 338 5 32.00 353 6 31.58 353 7 29.74 1000 8 # 29.61 473 9 # 29.43 672 10 # 22.75 378 11 14.13 289 12
    Spectral Code: 13C NMR : in CDCl3




  • Spectral Code: Raman : 4880 A,200 M,liquid