图谱信息 供应商 相关产品
网站主页CAS数据库列表 123-08-0更多图谱对羟基苯甲醛(123-08-0)质谱(MS)

对羟基苯甲醛

产品名称 对羟基苯甲醛

CAS号123-08-0

分子式C7H6O2

分子量122.12

展开


  • Mass

    MS-NW-4787          
    p-hydroxybenzaldehyde
    C7H6O2              (Mass of molecular ion:    122)
    

       Source Temperature: 260 °C
       Sample Temperature: 180 °C
       Reservoir, 75 eV
    

          18.0       1.7
          26.0       1.2
          27.0       2.0
          28.0       2.0
          29.0       3.9
          37.0       3.5
          38.0       6.3
          39.0      30.1
          40.0       3.6
          47.0       2.2
          49.0       1.0
          50.0       4.6
          51.0       3.9
          53.0       5.0
          55.0       2.3
          61.0       2.2
          62.0       3.7
          63.0       7.4
          64.0       3.4
          65.0      42.0
          66.0       6.1
          74.0       2.2
          75.0       1.5
          92.0       1.9
          93.0      41.1
          94.0       5.6
         121.0     100.0
         122.0      92.7
         123.0       6.9
         140.0       1.1
    

400 MHz in DMSO-d6


  • 1H NMR 399.65 MHz
    C7 H6 O2 0.037 g : 0.5 ml DMSO-d6
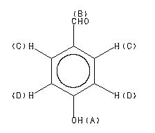
    p-hydroxybenzaldehyde
    ChemicalStructure
        Assign.     Shift(ppm)
    A 10.6 B 9.815 C 7.789 D 6.965

         Hz     ppm     Int.
    

       4256.24  10.650    145
       3922.69   9.816   1000
       3120.06   7.807    105
       3117.49   7.801    867
       3115.48   7.796    263
       3110.72   7.784    268
       3108.89   7.780    844
       3106.14   7.773    115
       2790.54   6.983     97
       2787.98   6.977    791
       2785.96   6.972    254
       2781.20   6.960    235
       2779.19   6.955    787
       2776.62   6.948    101
    

in DMSO-d6

in CDCl3





KBr disc



nujol mull