-
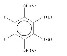
MS-NW-1852 hydroquinone C6H6O2 (Mass of molecular ion: 110)
Source Temperature: 180 °C Sample Temperature: 120 °C Direct, 75 eV
18.0 1.1 25.0 1.3 26.0 8.0 27.0 13.9 28.0 2.1 29.0 4.8 37.0 2.1 38.0 3.2 39.0 16.0 40.0 1.1 42.0 2.3 43.0 1.6 49.0 1.4 50.0 4.0 51.0 5.4 52.0 4.5 53.0 17.3 54.0 12.5 55.0 18.2 56.0 1.6 61.0 2.0 62.0 3.1 63.0 5.3 64.0 4.2 65.0 1.6 69.0 1.8 81.0 31.5 82.0 14.8 108.0 1.6 109.0 5.9 110.0 100.0 111.0 7.0
parameter in DMSO-d6
更多供应商







