-
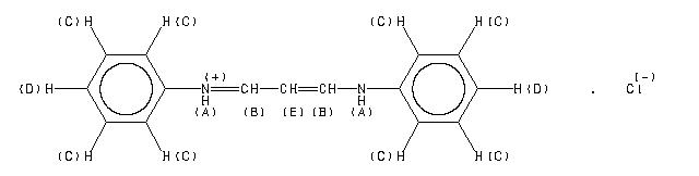
MS-KW-0192 N-(3-anilinoallylidene)aniline monohydrochloride C15H14N2 HCl (Mass of molecular ion: 222)
Source Temperature: 180 °C Sample Temperature: 150 °C Direct, 75 eV
18.0 1.1 28.0 2.3 35.0 1.4 36.0 19.6 38.0 6.9 39.0 3.2 50.0 1.8 51.0 11.8 52.0 2.1 63.0 1.2 65.0 3.9 66.0 2.7 76.0 2.0 77.0 31.0 78.0 4.0 89.0 1.2 90.0 1.9 91.0 5.9 92.0 2.4 93.0 9.1 102.0 2.7 103.0 6.7 104.0 7.8 111.0 7.2 111.5 1.2 116.0 2.2 117.0 5.4 118.0 9.0 119.0 3.2 128.0 4.9 129.0 8.7 130.0 22.1 131.0 2.4 143.0 2.5 144.0 3.1 145.0 10.2 146.0 1.1 180.0 1.8 193.0 1.1 194.0 2.7 195.0 1.9 204.0 1.1 205.0 1.0 206.0 5.0 219.0 4.2 220.0 1.9 221.0 99.2 222.0 100.0 223.0 15.9 224.0 1.3
400 MHz in DMSO-d6
-
1H NMR 399.65 MHz C15 H14 N2 0.038 g : 0.5 ml DMSO-d6 N-(3-anilinoallylidene)aniline monohydrochloride 
Assign. Shift(ppm)
A 12.8 B 9.056 C 7.48 D 7.25 E 6.589
Hz ppm Int.5120.42 12.813 72 3621.02 9.061 78 3609.85 9.033 75 2996.24 7.498 124 2989.83 7.482 1000 2987.81 7.477 516 2983.42 7.466 365 2978.29 7.453 50 2976.64 7.449 62 2974.62 7.444 87 2906.12 7.272 66 2904.10 7.267 106 2901.17 7.260 86 2899.89 7.257 105 2897.69 7.251 122 2895.50 7.246 95 2891.65 7.236 66 2889.27 7.230 44 2645.11 6.619 53 2633.57 6.590 102 2622.03 6.561 50
更多供应商





