图谱信息 供应商 相关产品
网站主页CAS数据库列表 1234-35-1更多图谱N-苄氧羰基-L-精氨酸(1234-35-1)红外图谱(IR1)

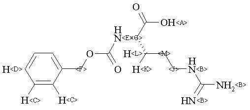
N-苄氧羰基-L-精氨酸

产品名称 N-苄氧羰基-L-精氨酸

CAS号1234-35-1

分子式C14H20N4O4

分子量308.33

展开


  • Mass

    MS-IW-1028          
    N(alpha)-benzyloxycarbonyl-L-arginine
    C14H20N4O4          (Mass of molecular ion:    308)
    

       Source Temperature: 210 °C
       Sample Temperature: 200 °C
       Direct, 75 eV
    

          16.0       5.7
          17.0      10.2
          18.0       7.0
          27.0       2.4
          28.0       3.7
          29.0       1.4
          30.0       1.1
          31.0       1.5
          38.0       1.5
          39.0       5.9
          41.0       1.4
          42.0       2.0
          43.0       2.7
          44.0      58.2
          50.0       4.7
          51.0      11.4
          52.0       3.5
          53.0       5.8
          53.5       2.2
          54.0       1.3
          56.0       2.2
          62.0       1.1
          63.0       2.5
          65.0       5.7
          69.0       5.5
          74.0       1.4
          76.0       1.0
          77.0      38.0
          78.0       8.8
          79.0      81.8
          80.0       7.2
          89.0       5.2
          90.0       7.8
          91.0      16.0
          92.0       2.2
         105.0       5.6
         106.0       3.2
         107.0      65.5
         108.0     100.0
         109.0       7.9
    

400 MHz in DNSO-D6


  • 1H NMR 399.65 MHz
    C14 H20 N4 O4 0.042 g : 0.5 ml DMSO-d6
    N(alpha)-benzyloxycarbonyl-L-arginine
    ChemicalStructure
        Assign.     Shift(ppm)
    A 9.06 B 7.7 to 7.42 C 7.34 D 7.30 E 6.67 F 4.989 G 3.727 J 3.04 K *1 1.70 L *1 1.57 M 1.476

         Hz     ppm     Int.
    

       2944.95   7.369     34
       2937.47   7.351    216
       2936.55   7.348    209
       2934.72   7.344    283
       2931.67   7.336   1000
       2927.86   7.327     85
       2926.33   7.323     91
       2921.60   7.311     68
       2919.46   7.306     68
       2918.24   7.302     59
       2916.41   7.298     53
       2914.89   7.294     58
       2913.06   7.290     64
       2909.09   7.280     31
       2907.41   7.275     31
       2671.66   6.686     67
       2664.18   6.667     70
       1994.17   4.990    331
       1492.92   3.736     61
       1486.82   3.721     67
       1479.80   3.703     30
       1215.52   3.042     96
        680.08   1.702     32
        631.87   1.582     33
        625.00   1.564     33
        596.62   1.493     46
        590.06   1.477     58
    

in DMSO-d6



KBr disc



nujol mull



4880 A,200 M,powder