图谱信息 供应商 相关产品
网站主页CAS数据库列表 125-46-2更多图谱松萝酸(125-46-2)红外图谱(IR1)

松萝酸

产品名称 松萝酸

CAS号125-46-2

分子式C18H16O7

分子量344.32

展开



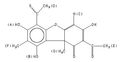
  •     Assign.     Shift(ppm)
    A *1 13.3 B *1 11.0 C 5.974 D *2 2.671 E *2 2.661 F 2.098 G 1.757 ENOL POSITION UNCERTAIN
    Spectral Code: 1H NMR : 90 MHz in CDCl3


  • Spectral Code: IR : KBr disc