图谱信息 供应商 相关产品
网站主页CAS数据库列表 1251-85-0更多图谱二安替比林甲烷(1251-85-0)核磁图(1HNMR)

二安替比林甲烷

产品名称 二安替比林甲烷

CAS号1251-85-0

分子式C23H24N4O2

分子量388.46

展开


  • Mass

    MS-NW-7217          
    4,4'-methylenebis(2,3-dimethyl-1-phenyl-3-pyrazolin-5-one)
    C23H24N4O2 H2O      (Mass of molecular ion:    388)
    

       Source Temperature: 190 °C
       Sample Temperature: 150 °C
       Direct, 75 eV
    

          15.0       2.3
          17.0       2.0
          18.0       9.8
          27.0       1.2
          28.0       2.4
          29.0       1.2
          39.0       3.1
          41.0       2.2
          42.0       5.1
          43.0       1.7
          51.0       4.2
          52.0       1.2
          53.0       2.9
          54.0       1.2
          55.0       3.3
          56.0     100.0
          57.0       4.0
          63.0       1.3
          64.0       1.8
          65.0       4.1
          66.0       1.9
          67.0       3.0
          68.0       2.6
          77.0      15.4
          78.0       2.2
          79.0       1.4
          80.0       1.7
          81.0       1.6
          82.0       3.3
          91.0       3.9
          92.0       2.1
          93.0       3.3
          94.0       1.8
          96.0       2.2
         104.0       1.7
         105.0       2.2
         106.0       3.3
         107.0       1.3
         108.0       1.8
         118.0       2.9
         119.0       2.2
         120.0       3.0
         121.0       1.6
         122.0       2.5
         130.0       1.3
         131.0       1.3
         132.0       1.1
         133.0       1.2
         134.0       1.6
         135.0       1.9
         136.0       1.1
         144.0       1.2
         147.0       1.8
         148.0       2.7
         149.0       2.3
         150.0       1.1
         163.0       1.0
         165.0       2.8
         166.0       1.0
         171.0       1.1
         172.0       1.1
         175.0       1.2
         176.0       5.1
         177.0      63.6
         178.0       9.3
         179.0       1.1
         180.0       1.5
         185.0       5.0
         186.0       1.5
         187.0       1.0
         188.0       1.9
         189.0       1.1
         194.0       7.0
         194.5       2.0
         197.0       1.2
         199.0       1.1
         200.0       8.8
         201.0      25.8
         202.0       4.5
         203.0       1.4
         211.0       1.3
         213.0       3.4
         214.0       3.0
         225.0       1.5
         227.0       1.2
         237.0       2.0
         238.0       1.2
         239.0       5.1
         240.0       6.6
         241.0      11.5
         242.0       2.2
         253.0       1.0
         254.0       5.3
         255.0       1.4
         265.0       1.2
         267.0       3.2
         268.0      12.9
         269.0      26.6
         270.0       5.4
         280.0       1.0
         294.0       1.3
         296.0      14.0
         297.0       3.0
         332.0       2.4
         358.0       1.4
         373.0       3.4
         374.0       1.0
         387.0       3.8
         388.0      44.0
         389.0      11.7
         390.0       2.2
    

400 MHz in CDCl3

90 MHz in CDCl3


  • 1H NMR 399.65 MHz
    C23 H24 N4 O2 0.039 g : 0.5 ml CDCl3
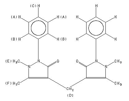
    4,4'-methylenebis(2,3-dimethyl-1-phenyl-3-pyrazolin-5-one)
    ChemicalStructure
        Assign.     Shift(ppm)
    A 7.417 B 7.382 C 7.234 D 3.271 E 2.988 F 2.441

         Hz     ppm     Int.
    

       2974.24   7.443     62
       2972.41   7.438     31
       2967.53   7.426     92
       2965.94   7.422    192
       2964.60   7.418     49
       2961.18   7.410     52
       2958.98   7.404    183
       2954.22   7.393    225
       2952.39   7.388    246
       2950.07   7.382     45
       2947.39   7.375     42
       2945.56   7.371    105
       2944.70   7.369     54
       2943.97   7.367     64
       2899.29   7.255     40
       2897.71   7.251     63
       2896.12   7.247     35
       2892.46   7.238     47
       2891.97   7.237     48
       2890.63   7.233    110
       2889.65   7.231     43
       2888.67   7.229     32
       2885.25   7.220     31
       2883.54   7.216     49
       1307.50   3.272    209
       1194.09   2.988   1000
        975.83   2.442    844
    


  • 1H NMR 89.56 MHz
    C23 H24 N4 O2 0.039 g : 0.5 ml CDCl3
    4,4'-methylenebis(2,3-dimethyl-1-phenyl-3-pyrazolin-5-one)
    ChemicalStructure
        Assign.     Shift(ppm)
    A 7.46 to 7.11 B 3.267 C 2.981 D 2.436

         Hz     ppm     Int.
    

        666.31   7.440     80
        665.75   7.434     79
        664.38   7.419    171
        662.38   7.396    113
        660.69   7.378    644
        658.69   7.355     83
        657.19   7.338     62
        655.56   7.320     53
        654.94   7.313     52
        653.88   7.302     73
        652.31   7.284     55
        651.44   7.274     59
        649.44   7.252     52
        647.88   7.235     38
        645.38   7.207     40
        643.69   7.188     32
        292.69   3.269    155
        267.06   2.982   1000
        218.19   2.437    759
    

in CDCl3



KBr disc



nujol mull