图谱信息 供应商 相关产品
网站主页CAS数据库列表 126-14-7更多图谱蔗糖八乙酸酯(126-14-7)核磁图(13CNMR)

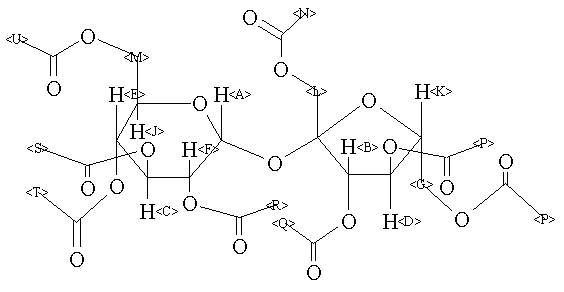
蔗糖八乙酸酯

产品名称 蔗糖八乙酸酯

CAS号126-14-7

分子式C28H38O19

分子量678.59

展开





  •     Assign.     Shift(ppm)
    A 5.691 B 5.452 C 5.450 D 5.374 E 5.080 F 4.877 G 4.33 J 4.30 K 4.22 L 4.174 M 4.16 N *1 2.179 P *1 2.119 Q *1 2.113 R *1 2.102 S *1 2.101 T *1 2.047 U *1 2.020 ASSIGNED BY H-H COSY
    Spectral Code: 1H NMR : 400 MHz in CDCl3



  •        ppm   Int.  Assign.
    170.64 112 1 * 170.42 140 2 * 170.06 297 3 * 4 * 169.98 209 5 * 169.84 176 6 * 169.62 169 7 * 169.47 213 8 * 104.09 260 9 90.08 307 10 79.23 307 11 75.87 350 12 75.16 331 13 70.40 304 14 # 69.76 305 15 # 68.62 292 16 # 68.40 282 17 # 63.71 319 18 63.00 260 19 61.86 295 20 20.60 1000 21 ASSIGNED BY C-H COSY.
    Spectral Code: 13C NMR : in CDCl3


  • Spectral Code: IR : nujol mull