图谱信息 供应商 相关产品
网站主页CAS数据库列表 126716-90-3更多图谱1,3-双(4-羟基苯氧基)苯(126716-90-3)红外图谱(IR1)

1,3-双(4-羟基苯氧基)苯

产品名称 1,3-双(4-羟基苯氧基)苯

CAS号126716-90-3

分子式C18H14O4

分子量294.3

展开


  • Mass

    MS-IW-3656          
    4,4'-(m-phenylenedioxy)diphenol
    C18H14O4            (Mass of molecular ion:    294)
    

       Source Temperature: 160 °C
       Sample Temperature: 120 °C
       Direct, 75 eV
    

          18.0       1.0
          39.0       3.8
          50.0       1.8
          51.0       1.2
          53.0       1.8
          55.0       1.0
          63.0       2.6
          64.0       2.9
          65.0       4.9
          76.0       5.4
          77.0       1.7
          81.0       3.1
          92.0       2.2
         109.0       5.5
         110.0       3.6
         115.0       1.4
         121.0       1.5
         127.0       3.5
         128.0       7.2
         129.0       2.6
         131.0       2.6
         139.0       1.0
         147.0       4.8
         155.0       1.1
         156.0       2.2
         157.0      25.8
         158.0       3.4
         171.0       1.0
         184.0       2.6
         185.0       3.5
         186.0       1.1
         199.0       1.7
         202.0       1.1
         265.0       1.4
         293.0       3.1
         294.0     100.0
         295.0      20.0
         296.0       2.7
    

400 MHz in DMSO-d6


  • 1H NMR 399.65 MHz
    C18 H14 O4 0.030 g : 0.5 ml DMSO-d6
    4,4'-(m-phenylenedioxy)diphenol
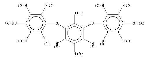
    ChemicalStructure
        Assign.     Shift(ppm)
    A 9.40 B 7.230 C 6.900 D 6.788 E 6.525 F 6.398

         Hz     ppm     Int.
    

       3754.73   9.396   1000
       2898.10   7.252    118
       2889.86   7.231    240
       2881.62   7.211    134
       2766.88   6.924     56
       2763.37   6.915    573
       2761.08   6.909    225
       2756.65   6.898    248
       2754.36   6.892    859
       2750.85   6.884    103
       2720.18   6.807     99
       2716.67   6.798    825
       2714.39   6.792    265
       2709.96   6.781    210
       2707.67   6.776    602
       2704.16   6.767     60
       2613.22   6.539    301
       2610.78   6.533    305
       2604.98   6.519    274
       2602.54   6.513    311
       2559.20   6.404    154
       2556.92   6.398    264
       2554.63   6.393    136
    

in DMSO-d6



KBr disc



nujol mull