图谱信息 供应商 相关产品
网站主页CAS数据库列表 127-41-3更多图谱alpha-紫罗酮(127-41-3)核磁图(13CNMR)

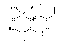
alpha-紫罗酮

产品名称 alpha-紫罗酮

CAS号127-41-3

分子式C13H20O

分子量192.3

展开



  •     Assign.     Shift(ppm)
    A 6.60 B 6.07 C 5.50 D 2.27 E 2.251 F 2.04 G 1.57 J 1.67 to 1.03 K *1 0.932 L *1 0.858
    Spectral Code: 1H NMR : 90 MHz in CDCl3



  •        ppm   Int.  Assign.
    198.26 604 1 148.93 960 2 132.38 1000 3 * 131.95 995 4 * 122.68 871 5 54.34 931 6 32.53 787 7 31.27 847 8 27.80 688 9 26.94 554 10 # 26.83 698 11 # 23.04 807 12 22.77 649 13
    Spectral Code: 13C NMR : in CDCl3


  • Spectral Code: IR : liquid film


  • Spectral Code: Raman : 4880 A,200 M,liquid


  • Spectral Code: ESR : ANION RADICAL, ELECTROLYTIC REDUCTION IN THF AT -70C