图谱信息 供应商 相关产品
网站主页CAS数据库列表 127-43-5更多图谱1-(2,6,6-三甲基)-1-环己烯-1-戊烯-3-酮(127-43-5)核磁图(1HNMR)

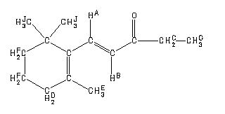
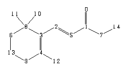
1-(2,6,6-三甲基)-1-环己烯-1-戊烯-3-酮

产品名称 1-(2,6,6-三甲基)-1-环己烯-1-戊烯-3-酮

CAS号127-43-5

分子式C14H22O

分子量206.32

展开



  •     Assign.     Shift(ppm)
    A 7.30 B 6.139 C 2.60 D 2.06 E 1.76 F 1.82 to 1.30 G 1.13 J 1.07
    Spectral Code: 1H NMR : 90 MHz in CDCl3



  •        ppm   Int.  Assign.
    200.86 375 1 141.78 565 2 136.11 364 3 * 135.43 451 4 * 130.46 690 5 39.79 598 6 34.10 663 7 # 33.71 717 8 # 33.52 674 9 # 28.80 1000 10 11 21.69 543 12 18.96 505 13 8.32 543 14
    Spectral Code: 13C NMR : in CDCl3


  • Spectral Code: IR : liquid film


  • Spectral Code: Raman : 4880 A,200 M,liquid