图谱信息 供应商 相关产品
网站主页CAS数据库列表 128-53-0更多图谱N-乙基马来酰亚胺(128-53-0)核磁图(1HNMR)

N-乙基马来酰亚胺

产品名称 N-乙基马来酰亚胺

CAS号128-53-0

分子式C6H7NO2

分子量125.13

展开


  • Mass

    MS-NW-1962          
    N-ethylmaleimide
    C6H7NO2             (Mass of molecular ion:    125)
    

       Source Temperature: 230 °C
       Sample Temperature: 180 °C
       Reservoir, 75 eV
    

          15.0       4.4
          25.0       1.6
          26.0      24.2
          27.0       8.1
          28.0       9.2
          29.0       2.4
          39.0       1.5
          40.0       2.6
          41.0       3.0
          42.0       9.5
          43.0       1.0
          44.0       5.8
          52.0       1.4
          53.0       7.1
          54.0      30.2
          55.0       9.0
          56.0      10.8
          68.0       1.0
          69.0       2.9
          70.0       2.1
          71.0       1.1
          80.0       4.5
          82.0      22.9
          83.0       1.2
          96.0       4.8
          97.0       1.2
          98.0       1.4
         110.0     100.0
         111.0       5.8
         124.0       1.5
         125.0      49.2
         126.0       3.5
    

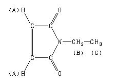
parameter in CDCl3


  • 1H NMR 300 MHz
    C6 H7 N O2 10.6 mol% in CDCl3
    N-ethylmaleimide
    ChemicalStructure
        Parameter     ppm  Hz
    D(A) 6.715 D(B) 3.575 D(C) 1.190 J(B,C) 7.19

         Hz     ppm     Int.
    

       2014.49   6.715   1000
       1083.35   3.611    120
       1076.17   3.587    368
       1068.99   3.563    373
       1061.81   3.539    128
        364.16   1.214    378
        356.99   1.190    752
        349.81   1.166    363
    

in CDCl3



CCl4 solution



KBr disc