图谱信息 供应商 相关产品
网站主页CAS数据库列表 128-62-1更多图谱那可汀(128-62-1)核磁图(13CNMR)

那可汀

产品名称 那可汀

CAS号128-62-1

分子式C22H23NO7

分子量413.42

展开


  • Mass

    MS-NW-6569          
    noscapine
    C22H23NO7           (Mass of molecular ion:    413)
    

       Source Temperature: 190 °C
       Sample Temperature: 150 °C
       Direct, 75 eV
    

          42.0       1.7
          77.0       1.4
         118.0       1.3
         119.0       1.1
         147.0       2.2
         148.0       1.3
         176.0       1.0
         178.0       1.7
         193.0       1.7
         194.0       1.3
         203.0       1.8
         205.0       8.8
         206.0       1.3
         218.0       3.2
         219.0       2.0
         220.0     100.0
         221.0      14.6
         222.0       1.6
    

400 MHz in CDCl3


  • 1H NMR 399.65 MHz
    C22 H23 N O7 0.040 g : 0.5 ml CDCl3
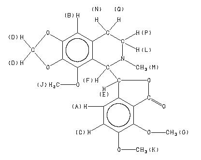
    noscapine
    ChemicalStructure
        Assign.     Shift(ppm)
    A 6.966 B 6.310 C 6.074 D 5.94 E 5.573 F 4.391 G 4.092 J 4.047 K 3.864 L *1 2.600 M 2.546 N *2 2.36 P *1 2.34 Q *2 1.910 ASSIGNED BY C-H COSY

         Hz     ppm     Int.
    

       2788.33   6.977    109
       2780.03   6.957    114
       2521.85   6.311    159
       2431.88   6.086     85
       2431.15   6.084     84
       2423.71   6.065     83
       2422.97   6.063     82
       2376.46   5.947    121
       2375.12   5.944    229
       2373.41   5.939    227
       2372.07   5.936    112
       2229.61   5.579     83
       2229.00   5.578     83
       2225.59   5.569     85
       2224.85   5.567     82
       1756.96   4.397     82
       1752.81   4.386     80
       1635.62   4.093   1000
       1617.31   4.047    888
       1544.31   3.865    688
       1045.65   2.617     32
       1017.82   2.547    635
        942.75   2.359     44
        940.80   2.355     35
        938.11   2.348     38
        936.16   2.343     41
        934.33   2.338     43
    

in CDCl3



KBr disc



nujol mull