图谱信息 供应商 相关产品
网站主页CAS数据库列表 128-95-0更多图谱1,4-二氨基蒽醌(128-95-0)核磁图(1HNMR)

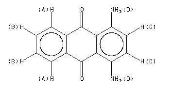
1,4-二氨基蒽醌

产品名称 1,4-二氨基蒽醌

CAS号128-95-0

分子式C14H10N2O2

分子量238.24

展开



  •     Assign.     Shift(ppm)
    A 8.30 B 8.26 C 7.78 D 7.20
    Spectral Code: 1H NMR : 400 MHz in DMSO-d6



  •        ppm   Int.  Assign.
    183.95 316 1 145.38 496 2 134.57 449 3 132.58 1000 4 127.77 802 5 126.42 923 6 110.81 422 7
    Spectral Code: 13C NMR : in CDCl3


  • Spectral Code: IR : KBr disc