图谱信息 供应商 相关产品
网站主页CAS数据库列表 130-16-5更多图谱5-氯-8-羟基喹啉(130-16-5)核磁图(1HNMR)

5-氯-8-羟基喹啉

产品名称 5-氯-8-羟基喹啉

CAS号130-16-5

分子式C9H6ClNO

分子量179.6

展开



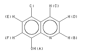
  •     Assign.     Shift(ppm)
    A 10.3 B 8.988 C 8.508 D 7.747 E 7.636 F 7.140
    Spectral Code: 1H NMR : 400 MHz in DMSO-d6



  •        ppm   Int.  Assign.
    152.95 628 1 148.84 977 2 139.04 362 3 132.37 956 4 127.46 970 5 126.00 434 6 122.91 971 7 118.58 448 8 111.47 1000 9
    Spectral Code: 13C NMR : in DMSO-d6


  • Spectral Code: IR : KBr disc