图谱信息 供应商 相关产品
网站主页CAS数据库列表 130-26-7更多图谱氯碘羟喹(130-26-7)质谱(MS)

氯碘羟喹

产品名称 氯碘羟喹

CAS号130-26-7

分子式C9H5ClINO

分子量305.5

展开


  • Mass

    MS-NW-0327          
    5-chloro-7-iodo-8-quinolinol
    C9H5ClINO           (Mass of molecular ion:    305)
    

       Source Temperature: 150 °C
       Sample Temperature: 120 °C
       Direct, 75 eV
    

          28.0       1.0
          37.0       1.2
          38.0       1.4
          39.0       2.4
          50.0       1.6
          51.0       1.0
          52.0       1.0
          53.0       1.1
          57.5       4.3
          61.0       3.3
          62.0       6.3
          63.0       5.7
          64.0       1.5
          73.0       2.0
          74.0       1.5
          75.0       5.9
          76.0       2.3
          85.0       1.4
          86.0       3.1
          87.0       6.3
          88.0       6.4
          89.0       2.2
          97.0       1.4
         114.0       9.1
         115.0      17.2
         116.0       1.8
         121.0       1.3
         123.0       7.2
         124.0       1.5
         125.0       2.4
         127.0       1.9
         138.5       3.8
         139.5       1.2
         143.0       1.4
         149.0       2.6
         150.0      36.5
         151.0       4.2
         152.0      11.7
         152.5       3.3
         153.0       1.2
         153.5       1.1
         178.0       6.0
         179.0       1.6
         180.0       2.0
         242.0       2.0
         277.0       4.6
         279.0       1.5
         305.0     100.0
         306.0      10.3
         307.0      32.5
         308.0       3.4
         397.0       6.6
    

90 MHz in DMSO-d6


  • 1H NMR 89.56 MHz
    C9 H5 Cl I N O 0.050 g : 0.5 ml DMSO-d6
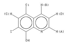
    5-chloro-7-iodo-8-quinolinol
    ChemicalStructure
        Assign.     Shift(ppm)
    A 8.989 B 8.484 C 7.997 D 7.783 OH-PEAK SPREAD IN THE BASE LINE.

         Hz     ppm     Int.
    

        811.28   9.059     31
        808.11   9.024    238
        806.64   9.007    270
        803.96   8.977    271
        802.37   8.960    270
        798.46   8.916     40
        765.50   8.548    233
        763.92   8.530    232
        761.72   8.506     33
        761.23   8.500     31
        759.77   8.484     35
        756.96   8.452    312
        755.37   8.435    279
        716.31   7.999   1000
        706.54   7.890     32
        706.18   7.885     31
        705.57   7.879     31
        703.00   7.850    299
        698.85   7.804    293
        694.46   7.755    244
        690.31   7.708    232
        687.87   7.681     30
        686.89   7.670     38
    

in DMSO-d6



KBr disc



nujol mull