图谱信息 供应商 相关产品
网站主页CAS数据库列表 130-49-4更多图谱腺苷-2'-一磷酸(130-49-4)核磁图(13CNMR)

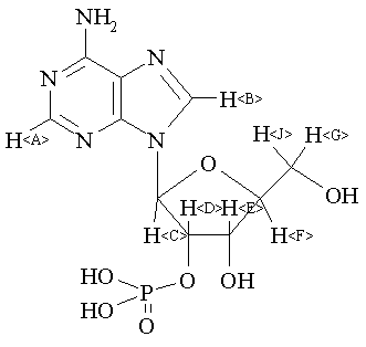
腺苷-2'-一磷酸

产品名称 腺苷-2'-一磷酸

CAS号130-49-4

分子式C10H14N5O7P

分子量347.22

展开



  •     Assign.     Shift(ppm)
    A 8.473 B 8.353 C 6.243 D 5.191 E 4.573 F 4.316 G *1 3.918 J *1 3.874 THE SOLVENT PEAK SUPPRESSED.
    Spectral Code: 1H NMR : 400 MHz in D2O



  •        ppm   Int.  Assign.
    151.02 467 1 148.83 369 2 145.67 950 3 143.87 918 4 119.61 453 5 88.14 676 P 6 88.02 692 P 6 86.31 957 7 77.12 741 P 8 77.02 725 P 8 70.74 693 P 9 70.70 741 P 9 61.84 1000 10
    Spectral Code: 13C NMR : in D2O


  • Spectral Code: IR : KBr disc