-
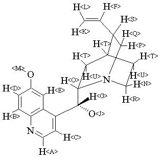
MS-NW-5938 quinine C20H24N2O2 (Mass of molecular ion: 324)
Source Temperature: 200 °C Sample Temperature: 130 °C Direct, 75 eV
27.0 1.4 28.0 1.1 29.0 1.5 39.0 1.8 41.0 5.1 42.0 5.2 44.0 1.4 53.0 2.9 54.0 1.4 55.0 4.7 56.0 2.0 67.0 2.0 68.0 1.2 77.0 1.6 79.0 3.3 80.0 1.5 81.0 8.0 82.0 3.5 89.0 1.1 90.0 1.0 91.0 1.0 94.0 1.4 95.0 2.7 108.0 1.5 116.0 1.5 117.0 3.1 130.0 1.2 136.0 100.0 137.0 10.6 138.0 2.3 145.0 1.5 158.0 2.1 159.0 1.6 160.0 2.3 172.0 2.5 173.0 2.8 174.0 1.9 184.0 1.0 186.0 1.4 188.0 1.8 189.0 5.1 199.0 1.0 324.0 1.5 326.0 1.0
400 MHz in CDCl3
-
1H NMR 399.65 MHz C20 H24 N2 O2 0.029 g : 0.5 ml CDCl3 quinine 
Assign. Shift(ppm)
A 8.423 B 7.868 C 7.442 D 7.252 E 7.225 F 5.708 G 5.485 J 5.38 K 4.94 L 4.89 M 3.877 N 3.450 O 3.08 P 3.039 Q 2.61 R 2.59 S 2.234 T 1.78 to 1.69 U 1.50 to 1.43 assigned by H-H COSY. J(F,L)=10.3Hz J(F,K)=17.1Hz J(F,S)=7.7Hz J(P,Q)=-13.8Hz J(P,S)=10.1Hz
Hz ppm Int.3368.65 8.430 174 3364.14 8.418 182 3149.41 7.881 168 3140.38 7.858 182 2976.68 7.449 149 2972.17 7.437 146 2904.66 7.269 97 2901.98 7.262 124 2895.51 7.246 71 2892.94 7.239 141 2888.67 7.229 185 2886.11 7.222 124 2299.68 5.755 35 2291.99 5.735 39 2289.43 5.729 43 2282.10 5.711 64 2274.90 5.693 46 2272.34 5.686 47 2264.65 5.667 43 2193.48 5.489 86 2190.80 5.482 89 2149.66 5.379 71 1981.81 4.959 103 1964.60 4.916 99 1963.26 4.913 86 1961.91 4.910 97 1960.82 4.907 109 1950.44 4.881 95 1549.56 3.878 1000 1383.06 3.461 35 1382.69 3.460 35 1380.49 3.455 38 1378.30 3.449 37 1378.05 3.449 37 1225.59 3.067 85 1215.45 3.042 68 1211.79 3.033 69 1201.66 3.007 60 1055.30 2.641 53 1051.03 2.630 66 1048.58 2.624 56 1041.50 2.607 74 1039.43 2.601 72 1039.06 2.600 72 1037.72 2.597 71 893.07 2.235 42 892.82 2.235 42 892.46 2.234 42 892.09 2.233 42 713.75 1.786 71 711.55 1.781 79 708.50 1.773 66 705.81 1.767 58 697.02 1.745 59 691.89 1.732 71 684.69 1.714 80 674.80 1.689 31 674.44 1.688 31 600.95 1.504 38 600.46 1.503 38 598.02 1.497 43 588.38 1.473 76 583.01 1.459 50 581.18 1.455 53 580.81 1.454 53 578.86 1.449 47 578.37 1.448 47
更多供应商






