
p-甲氧基苄烯-p-氰基苯胺
产品名称
p-甲氧基苄烯-p-氰基苯胺
CAS号13036-19-6
分子式C15H12N2O
分子量236.27
InChIInChI=1S/C15H12N2O/c1-18-15-8-4-13(5-9-15)11-17-14-6-2-12(10-16)3-7-14/h2-9,11H,1H3
InChIKeySZTAFPBCQLNZQR-UHFFFAOYSA-N
SmilesC(#N)C1=CC=C(N=CC2=CC=C(OC)C=C2)C=C1
展开
收起
-
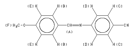
Assign. Shift(ppm)
A 8.31
B 7.84
C 7.64
D 7.20
E 7.00
F 3.877
Spectral Code: 1H NMR : 90 MHz in CDCl3
-
ppm Int. Assign.
162.90 318 1 *
161.42 323 2 *
156.23 338 3
133.17 944 4
131.00 854 5
128.50 323 6
121.58 1000 7
119.07 192 8
114.32 1000 9
108.46 308 10
55.42 283 11
Spectral Code: 13C NMR : in CDCl3
-
Spectral Code: IR : KBr disc
-
Spectral Code: Raman : 4880 A,200 M,powder
p-甲氧基苄烯-p-氰基苯胺(13036-19-6)红外图谱(IR1) 相关产品图谱